Catharsis, jeux vidéos, pornographie, viol… : quelques mots sur « l’affaire Lara Croft »

Tomb Raider

Aujourd’hui un article, peut-être un peu fourre-tout, mais qui a pour vocation notamment de répondre à l’article de Peggy Sastre et à toutes les réactions du type « Pfff, mais c’est de la fiction, on s’en fiche, ça sert à rien, il y a plus important à faire ! ».

Je voudrais montrer, que non, il n’y a pas un cloisonnement net entre fiction et réalité. La fiction véhicule des idées et des croyances, et ces idées et croyances se traduisent en actes.

Je remercie au passage Alphonsine Chasteboeuf pour ses précisions très intéressantes sur la catharsis. 🙂

 Contexte

JOYSTICK

Le numéro de Joystick où est paru l’article problématique

Je crois que tout le monde est à peu près au courant de la polémique, mais je reprends. Tout commence avec un article de Joystick traitant du prochain opus de Tomb Raider, dans lequel l’héroïne, Lara Croft, est agressée sexuellement. Problème : l’article, qui est quand même imprimé dans un journal grand public, prend le point de vue des agresseurs (fictifs, certes). Sur longues six pages, le journaliste décrit combien il a été pour lui « excitant » de voir l’héroïne se faire « remettre à sa place », « humilier » et « souiller sans ménagement ». La gameuse féministe Mar_lard s’est donc fendu d’un post sur le blog Genre! pour expliquer, tout simplement, en quoi ce genre d’écrit est problématique. Toute une polémique a eu lieu, l’article ayant eu un énorme succès et de nombreux blogueurs ou journalistes ont décidé de donner leur opinion sur « l’affaire ».

Dans cette cacophonie, un article a particulièrement attiré mon attention : c’est celui de Peggy Sastre. Cette dernière a mis un point d’honneur à distinguer représentation d’un« viol dans la vraie vie » et représentation d’un « viol fictif » et a évoqué l’effet de catharsis. Par ailleurs, de nombreuses autres personnes, que ce soit dans les commentaires ou sur les réseaux sociaux, se sont indignées que des féministes puissent s’intéresser à un sujet aussi « stupide » que le traitement du viol dans les médias (jeux vidéos et journaux, en l’occurrence). Au passage, des gens ont aussi fait le lien entre jeux vidéos et pornographie, en prétendant que cette dernière « protégeait » du viol par un effet cathartique, similaire à celui qu’auraient les jeux vidéo violents.

C’est à tout cela que je souhaite répondre aujourd’hui dans un article mi-« scientifique » mi-militant.

Catharsis et violence dans les jeux vidéos et à la télévision

La catharsis (qui signifie « purification » en grec) a d’abord été définie par Aristote, qui en parle comme un phénomène se produisant chez les spectateurs d’une tragédie. Le fait de voir des personnages en action permettrait de se libérer de ses angoisses, passions et craintes par un effet d’identification.

Ce phénomène est très souvent évoqué pour justifier la violence que l’on retrouve dans certains médias, comme les films ou les jeux vidéos. Le fait de voir des meurtres, des tortures, des viols et des violences en tout genre, permettrait de se libérer de ses pulsions violentes.

Qu’en disent les études scientifiques, très nombreuses, à ce sujet ? Les preuves s’accumulent pour indiquer que les médias violents ont

gta

Les jeux violents, comme GTA, augmentent l’agressivité des joueurs.

pour conséquence d’augmenter l’agressivité. Ainsi, une méta-analyse de 20101, portant sur 381 études et plus de 130 000 joueurs de plusieurs pays (Etats-Unis, Japon) a montré que jouer à des jeux vidéos violents augmente l’agressivité, que ce soit au niveau du comportement ou au niveau de la pensée, et diminue l’empathie et les comportements pro-sociaux (aider quelqu’un, faire un don, etc.). Ces effets négatifs étaient significatifs, aussi bien chez les individus occidentaux que chez les personnes asiatiques. Cette méta-analyse a également montré les conséquences négatives des jeux vidéos violents se maintenaient à longs termes, et pas seulement à courts termes.

Les auteurs remarquent également que, bien que la plupart des universitaires pensent généralement que les enfants sont plus vulnérables à l’exposition à la violence, que les adolescents ou les adultes, il y a en réalité peu de preuves à ce sujet.

Les résultats des travaux sur les jeux vidéos sont semblables à ceux des recherches portant sur les films et les programmes télévisés violents. Cependant, il semblerait que les effets des jeux vidéos seraient plus importants2,3. En effet, les jeux vidéos sont plus interactifs et le joueur, étant actif, est plus impliqué émotionnellement et psychologiquement.

Au passage, oui, il y a un auteur, Ferguson4–6, qui a publié trois méta-analyses à ce sujet (largement redondantes car s’appuyant quasiment sur les mêmes études), et qui dit n’avoir détecté aucun effet négatif de la violence dans les jeux vidéos. Mais ses trois méta-analyses portent uniquement sur une dizaine d’études ; et apparemment, il en a ignoré plusieurs publiées récemment.

Bien évidemment, il ne s’agit pas de dire que les jeux vidéos violents sont la cause de tous les maux. La violence existait bien avant l’apparition des écrans. Il est aussi à noter que nous ne sommes pas égaux face à la violence des jeux vidéos. Ces derniers auront peu d’effets sur certaines personnes, et en auront beaucoup sur d’autres. Visiblement, les personnes colériques sont les plus affectées7.

Il ne s’agit pas non plus d’incriminer l’ensemble des jeux vidéos, mais seulement les jeux vidéos violents.

Voilà pour ce qui en est de la violence dans les médias visuels. On voit bien que des images de violences fictives ont un impact sur la réalité, et que donc la séparation violence fictive/réelle est peu pertinente. Passons maintenant au problème des mythes autour du viol dans les médias.

Rappels sur les mythes autour du viol et les médias

Avant de continuer, je voudrais redonner quelques précisions sur le viol, et plus précisément sur les croyances que le justifie : les mythes sur le viol.  Pour en savoir plus, je vous conseille de lire mes articles consacrés à ce sujet.

Première chose : le viol est un crime tristement banal. Aux Etats-Unis, 18 à 25% des femmes ont subi soit une tentative de viol, soit un viol dans leur vie. Le viol n’est pas le fait de détraqués, de fous, de pervers psychopathes, mais d’hommes (99% des auteurs sont des hommes) bien intégrés dans la société. Bref, les violeurs sont des gens absolument « normaux ». Dans plus de 75% des cas, la victime connait son agresseur : conjoint,  ami, collègue, voisin…

Deuxième chose : les moteurs psychologiques du viol, et des agressions sexuelles en général, sont le sexisme et l’adhésion aux « mythes sur le viol ». Ces mythes sont des attitudes et croyances généralement fausses, mais répandues et persistantes,  permettant de nier et de justifier l’agression sexuelle masculine contre les femmes. Il s’agit d’idées comme « elle n’aurait pas dû porter une jupe si courte », « elle ment sûrement », « elle l’a aimée », « les hommes ont des pulsions incontrôlables » etc. Il a été montré qu’il existe un lien causal entre adhésion à ces mythes et propension au viol. Je vous invite à lire le 4ème article de ma série « mythes sur le viol » où tout cela est détaillé.

Zemmour

Exemple de mythes sur les viols : « les hommes sont des prédateurs sexuels »

Or les médias regorgent de mythes sur le viol : dans les séries télévisées, les films, les journaux, la radio, etc (lire le 5ème article pour plus d’informations). Il a pu être montré, que lire ce type de mythes dans les journaux, augmente l’adhésion à ces croyances.

A ce titre, l’article de Joystick est un exemple particulièrement édifiant. Le journaliste présente l’agression sexuelle de Lara Croft, du point de vue de l’agresseur. Le long des 6 pages, c’est essentiellement un mythe qui s’étale : celui de la minimisation des agressions sexuelles. Ce mythe consiste notamment à voir les agressions sexuelles comme « sexuelles » avant d’être des « agressions ». Or les agressions sexuelles sont motivées avant tout par un désir de dominer, et non pas par un désir sexuel. Réduire les agressions sexuelles et le viol à de la sexualité, c’en est oublier tout l’aspect extrêmement violent et traumatisant. Mar_lard a tout à fait raison de s’insurger contre une expression comme « calvaire charnel » qui glamourise la notion de violences sexuelles.

Il est vrai que l’agression sexuelle de Lara Croft est fictive. Mais qu’importe, du moment que des mythes sur le viol sont colportés, le résultat est le même. Après tout, les publicités, les films et les paroles de chansons décrivent bien des situations fictionnelles. Pourtant, ces médias ont bien un impact sur les croyances à propos du viol8–12, ce qui montre que nous ne sommes pas tellement capables de « faire  la part des choses » entre fiction et réalité.

L’article de Joystick n’est pas un cas isolé. Cependant, l’ayant lu en entier, j’ai rarement vu un article étaler ainsi son machisme sans aucun complexe.

Pornographie et mythes autour du viol

A présent, je vais évoquer la pornographie et ses effets sur les croyances à propos du viol pour différentes raisons :

  • L’article de Joystick emploie le champ lexical de la pornographie violente : « malmener », « actrice gonzo SM», « punition », « remettre à sa place », « humilier »,  « souiller sans management », « prend cher », « gros dégoûtant », « calvaire charnelle », « gémissements », etc… Au final, l’article ressemble presque à une description d’une vidéo pornographique.
  • Parce que, certes, on a vu que les jeux vidéos violents produisaient des effets dans la réalité, mais ceux-ci dépeignent rarement des viols, plutôt des meurtres (du moins en Occident).
  • Parce que plusieurs commentateurs ont fait le rapprochement jeux vidéos-pornographie et ont prétendu que, comme les jeux vidéos, la pornographie avait un effet cathartique et protégeait des viols.
  • Parce que tout cela m’intéresse tout simplement ;).

Je vous ai dit, qu’a priori, il me semble peu logique que la pornographie puisse servir de protection contre les viols. Je crois qu’elle a plutôt l’effet contraire, au vu de tout ce que j’ai lu sur les mythes sur le viol.

En effet, les scénarios de la pornographie, genre machiste par excellence, ne s’appuient quasiment que sur des croyances erronés concernant les violences sexuelles. Un scénario courant est, par exemple, celui où une femme montre une résistance à un rapport sexuel, mais finalement y prend du plaisir, ce qui correspond au fameux mythe « Une femme qui dit non, pense oui ». Le mythe « une femme aime le sexe violent » est également très présent puisque la pornographie dépeint généralement des pénétrations violentes, sous lesquelles les femmes hurlent de plaisir… Les caresses, ou ce qu’on appelle les préliminaires, ne sont quasiment jamais montrés. Ce mythe est de plus en plus présent dans la pornographie, puisque les genres violents de type « gonzo » se développent de plus en plus13.

9weeks

Visualiser certaines scènes de « 9 semaines 1/2 » augmente l’adhésion aux mythes sur le viol.

Il faut aussi considérer le fait que deux études ont montré que le simple fait de visualiser des publicités représentant des femmes objectivisées augmente le niveau d’adhésion aux mythes des participants8,9. Par ailleurs, une étude portant sur des films, certes comportant des scènes érotiques, mais non pornographiques (9 semaines ½ et Showgirls) a indiqué que quand des hommes, même égalitaristes et progressistes, visualisaient ce type de scènes, leur perception du viol s’en trouvait modifiée12. En effet, les hommes ayant regardé ce type de vidéo, avaient plus tendance à considérer qu’une victime de viol avait du plaisir et qu’elle avait eu ce qu’elle voulait, par rapport à ceux qui avaient regardé un dessin-animé.

Revenons-en à la pornographie. Comme pour les jeux vidéos violents, de nombreuses études ont pu montrer des effets négatifs de la pornographie, en particulier qu’elle favorisait des attitudes favorables à la violence envers les femmes.

Par exemple, les analyses d’une enquête prospective14, ayant eu lieu entre 2001 et 2004 sur un échantillon diversifié de jeunes adolescents américains, ont montré que l’exposition précoce aux médias sexuellement explicites prédisait, aussi bien pour les garçons que pour les filles, des attitudes moins progressistes par rapport à l’égalité homme-femme. Pour les garçons, cette exposition précoce prédisait également un plus grand nombre d’actes de harcèlement sexuel deux ans plus tard. Dans le même ordre d’idée, une étude commencée en 2006 sur un panel d’adolescents néerlandais a montré que visualiser de la pornographie sur Internet favorisait l’idée que les femmes étaient des objets sexuels15.

homme devant son ordinateur

Visualiser de la pornographie augmente les attitude favorables aux violences envers les femmes

Les travaux sur le lien entre pornographie et attitudes favorables à la violence envers les femmes (que je vais à partir de maintenant synthétiser en ASV pour  « attitudes supporting violence against women ») ont été synthétisés dans trois méta-analyses, deux de 199516,17 et une de 201018. Allen, le premier auteur des deux méta-analyses de 1995, et ses associés, ont distingué, dans la première16, deux types d’études : les études non expérimentales, basées sur des enquêtes, et les études expérimentales ayant eu lieu au laboratoire dans des conditions contrôlées. Ils ont pu ainsi clairement voir, dans les études expérimentales, un effet significatif de la consommation de pornographie, qui favorisait les ASV. La pornographie violente avait d’ailleurs plus d’effets que la pornographie non-violente. Au contraire, les études non-expérimentales, en général, ne montraient aucun effet de la pornographie. L’équipe d’Allen remarqua que les conclusions des études non-expérimentales étaient souvent contradictoires. Cependant dans la seconde méta-analyse de 1995, ils trouvèrent un effet de la pornographie sur les ASV dans les deux types d’études17.

En 2010, un autre chercheur, Hald18, et ses associés, ont identifié plusieurs problèmes dans la première méta-analyse d’Allen, en ce qui concernait notamment les études non-expérimentales. Ils ont donc conduit une nouvelle méta-analyse corrigée et mise-à-jour. Ils ont trouvé, qu’en réalité, il existait bien une association significative entre consommation de pornographie et ASV, dans les études non-expérimentales, et que la pornographie violente avait des effets plus grands. Cependant, les résultats des études variaient beaucoup, ce qui laissait à penser qu’il existait des variables modératrices.

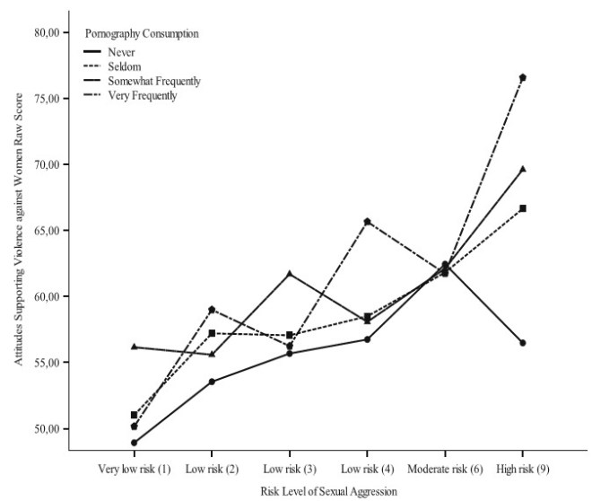
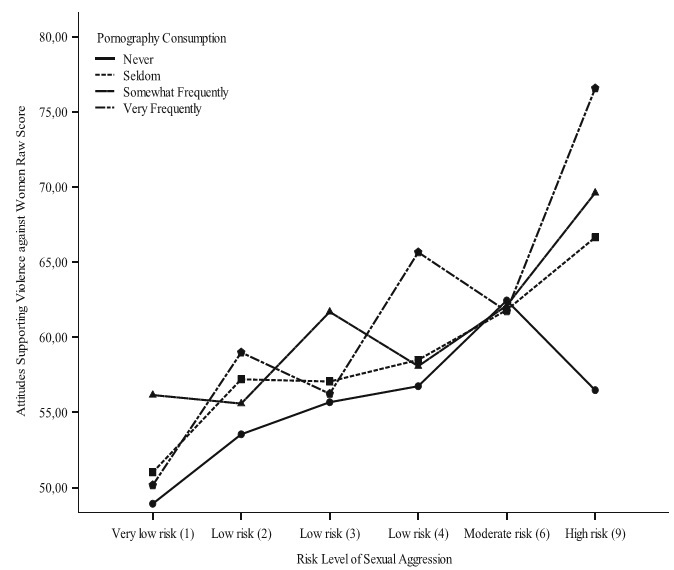
Malamuth et ses collègues ont conduit ainsi une autre étude pour déterminer quelles étaient ces variables modératrices19. Ils ont notamment testé si la pornographie affectait plus les hommes présentant un plus fort risque d’agression sexuelle, c’est-à-dire ceux présentant fortement deux traits de personnalité : la masculinité hostile et l’attrait pour les relations sexuelles impersonnelles (i.e avec de nombreux partenaires, sans forcément les connaitre ou y être attachés)20. La masculinité hostile se définit comme une combinaison de deux caractéristiques : 1) Un désir de contrôle et de domination, en particulier dans les relations avec les femmes, 2) Des sentiments d’hostilité et de méfiance à l’égard des autres, en particulier des femmes, tout cela accompagné d’attitudes misogynes. Les résultats confirment une nouvelle fois que la consommation de pornographie favorise les ASV. Ils montrent aussi qu’il existe une interaction entre consommation de pornographie et personnalité à risque, les hommes présentant une forte masculinité hostile et un attrait pour les relations sexuelles impersonnelles étant les plus affectés.

résultat

Résultats de l’étude de Malamuth 2010. En ordonnées : ASV. En abscisse : niveau de risque. Les différentes courbes correspondent à différents niveaux de consommation de pornographie

En conclusion, comme pour les jeux vidéos violents, les études de psychologie sociale indiquent qu’il n’y a pas d’effet de catharsis pour la pornographie. Ceci, comme pour les jeux vidéos violents, certains contestent qu’il y ait des effets négatifs liés à la visualisation de pornographie. J’ai pu constater qu’il s’agissait dans les deux cas… des mêmes personnes ! Ainsi, Ferguson qui a rédigé plusieurs articles visant à démontrer que les jeux vidéos violents n’avaient aucun effet négatif, a écrit en 2009 une review sur le lien entre pornographie et agressions sexuelles, en concluant qu’ « il est tant de jeter à la poubelle l’hypothèse selon laquelle la pornographie favorise les violences sexuelles ».  Il me semble assez malhonnête : par exemple, il évoque la première review d’Allen et al. en disant que les résultats sont mitigés, mais ne parle pas de la seconde, où les résultats sont plus homogènes.

Il y a également plusieurs personnes qui disent, que parce qu’il y a une corrélation négative, à l’échelle d’une population entière, entre légalisation de la pornographie et taux de viols, cela indique qu’il y a un effet protecteur de la pornographie. Une des dernières étude en date porte sur le cas de la République Tchèque, qui a légalisé la pornographie en 199021. Mais plusieurs critiques peuvent être faites face à ce type de méthodologie. Premièrement, l’échelle (un pays entier) est trop grande. Il peut y avoir de nombreux autres facteurs qui peuvent expliquer une diminution du nombre de viols, par exemple une amélioration du statut des femmes. Deuxièmement, en qui concerne au moins l’étude en République Tchèque, les auteurs s’appuient sur le nombre de dépôts de plainte pour estimer le taux de viols. Cela me semble hautement problématique, étant donné que de nombreuses victimes ne portent pas plainte. On pourrait même interpréter les données différemment : si, quand la pornographie est légalisée, il y a moins de dépôts de plainte, c’est parce que les victimes osent moins voir la police, de peur d’être blâmées !

Conclusion

J’ai écrit cela dans un seul but : pour montrer que les représentations de la violence dans les médias, que ce soit les  magazines (comme Joystick), les jeux vidéos ou la pornographie, ont un impact sur la réalité. Il y a bien sûr plusieurs facteurs à tout cela. Jouer à un jeu-vidéo ou regarder de la pornographie (ou lire Joystick) ne va pas faire automatiquement de vous un agresseur. Mais s’inquiéter de comment est dépeint un viol ou une agression sexuelle est un combat important.

Quand les féministes s’occupaient du « Mademoiselle », j’ai souvent entendu dire « Oh les féministes, elles ne s’occupent que des trucs inutiles ! Pourquoi elles ne s’occupent pas de choses graves, comme le viol ? ». Maintenant qu’elles s’occupent de viols, on continue d’entendre le même argument, sous prétexte que le viol en question est fictif. Mais est-ce qu’il ne faudrait s’intéresser qu’aux viols réels ? Bien sûr, il est extrêmement important de prendre en charge les victimes dans les meilleures conditions possibles, afin que leur guérison se passe au mieux. Pourtant il est tout aussi important d’essayer de prévenir les viols potentiels, non ? C’est exactement ce qu’a fait Mar_lard puisqu’elle s’est attaquée à un facteur de violences sexuelles : la banalisation et l’érotisation de ces dernières.

Mieux vaut prévenir que guérir

J’ai dans mon entourage, proche ou lointain, réel ou virtuel, plusieurs connaissances ou connaissances de connaissances qui ont été victimes d’agressions sexuelles ou de viols. J’ai en ce moment à l’esprit deux témoignages que j’ai entendus, et qui concerne un cas d’agression sexuelle et un cas de viol en réunion. Les points communs entre ces deux affaires ? Dans les deux cas, les agresseurs étaient des « amis » de la victime et des gens complètement normaux, voire même des garçons de bonne famille. Et surtout, ils semblaient n’avoir absolument aucune conscience de la gravité de leurs actes. Pour le viol en réunion, il s’agissait clairement d’un « délire de soirée », un « pari », une «  rigolade » aux yeux des agresseurs. Ils ont trouvé ça tellement normal qu’ils en ont largement parlé autour d’eux et ont été complètement abasourdis de se retrouver finalement en prison.

Comment expliquer une telle inconscience ? Peut-être, qu’à propos du viol, ils ont entendu parler de « calvaire charnel » au lieu de « crime », de « traumatisme » ou de « détresse. Peut-être aussi ont-ils vu beaucoup de vidéos où des femmes, résistant à des rapports sexuels, finalement appréciaient bien un peu de brutalité. Peut-être aussi croyaient-ils qu’un « vrai viol », c’était la nuit, dans un parking, perpétué par un étranger armé et fou…

Pour finir, revenons-en à Tomb Raider. Je ne considère pas que toute représentation d’un viol ou d’une agression sexuelle est problématique. Elle l’est si elle érotise ou minimise les violences sexuelles. Je n’ai vu que le trailer de Tom Raider et ça me parait insuffisant pour tirer des conclusions définitives. Ceci dit, je trouve déjà très maladroit de faire d’un sex-symbol comme Lara Croft une victime d’agression sexuelle (surtout si elle pousse des gémissements comme le dit le pigiste de Joystick). Cela ne fait qu’érotiser encore une fois les violences sexuelles.


Références

1. Anderson CA, Shibuya A, Ihori N, et al. Violent video game effects on aggression, empathy, and prosocial behavior in Eastern and Western countries: A meta-analytic review. Psychological Bulletin. 2010;136(2):151-173.

2. Anderson CA, Gentile DA, Buckley KE. Violent Video Game Effects on Children and Adolescents: Theory, Research, and Public Policy. Oxford University Press; 2007.

3. Polman H, de Castro BO, van Aken MAG. Experimental study of the differential effects of playing versus watching violent video games on children’s aggressive behavior. Aggressive Behavior. 2008;34(3):256–264.

4. Ferguson C. The Good, The Bad and the Ugly: A Meta-analytic Review of Positive and Negative Effects of Violent Video Games. Psychiatric Quarterly. 2007;78(4):309-316.

5. Ferguson CJ. Evidence for publication bias in video game violence effects literature: A meta-analytic review. Aggression and Violent Behavior. 2007;12(4):470-482.

6. Ferguson CJ, Olson CK, Kutner LA, Warner DE. Violent Video Games, Catharsis Seeking, Bullying, and Delinquency: A Multivariate Analysis of Effects. Crime & Delinquency. 2010. Available at: http://cad.sagepub.com/content/early/2010/03/04/0011128710362201. Consulté août 25, 2012.

7. Engelhardt CR, Bartholow BD, Saults JS. Violent and nonviolent video games differentially affect physical aggression for individuals high vs. low in dispositional anger. Aggressive Behavior. 2011;37(6):539–546.

8. Lanis K, Covell K. Images of women in advertisements: Effects on attitudes related to sexual aggression. Sex Roles. 1995;32(9-10):639-649.

9. Mackay J. N, Covell K. The Impact of Women in Advertisements on Attitudes Toward Women. Sex Roles. 1997;36(9-10):573-583.

10. Emmers-Sommer T, Pauley P, Hanzal A, Triplett L. Love, Suspense, Sex, and Violence: Men’s and Women’s Film Predilections, Exposure to Sexually Violent Media, and their Relationship to Rape Myth Acceptance. Sex Roles. 2006;55(5):311-320.

11. Barongan C, Hall GCN. The Influence Of Misogynous Rap Music On Sexual Aggression Against Women. Psychology of Women Quarterly. 1995;19(2):195-207.

12. Milburn MA, Mather R, Conrad SD. The Effects of Viewing R-rated Movie Scenes That Objectify Women on Perceptions of Date Rape. Sex Roles. 2000;43(9):645-664.

13. Poulin R. Sexualisation précoce et pornographie. Dispute; 2009.

14. Brown JD, L’Engle KL. X-Rated Sexual Attitudes and Behaviors Associated With U.S. Early Adolescents’ Exposure to Sexually Explicit Media. Communication Research. 2009;36(1):129-151.

15. Peter J, Valkenburg PM. Adolescents’ Exposure to Sexually Explicit Internet Material and Notions of Women as Sex Objects: Assessing Causality and Underlying Processes. Journal of Communication. 2009;59(3):407-433.

16. Allen M, Emmers T, Gebhardt L, Giery MA. Exposure to Pornography and Acceptance of Rape Myths. Journal of Communication. 1995;45(1):5–26.

17. Allen M, D’alessio D, Brezgel K. A Meta-Analysis Summarizing the Effects of Pornography II Aggression After Exposure. Human Communication Research. 1995;22(2):258–283.

18. Hald GM, Malamuth NM, Yuen C. Pornography and attitudes supporting violence against women: revisiting the relationship in nonexperimental studies. Aggressive Behavior. 2010;36(1):14–20.

19. Malamuth N, Hald G, Koss M. Pornography, Individual Differences in Risk and Men’s Acceptance of Violence Against Women in a Representative Sample. Sex Roles. 2012;66(7):427-439.

20. Malamuth NM, Sockloskie RJ, Koss MP, Tanaka JS. Characteristics of aggressors against women: Testing a model using a national sample of college students. Journal of Consulting and Clinical Psychology. 1991;59(5):670-681.

21. Diamond M, Jozifkova E, Weiss P. Pornography and Sex Crimes in the Czech Republic. Archives of Sexual Behavior. 2011;40(5):1037-1043.

100 réflexions sur “Catharsis, jeux vidéos, pornographie, viol… : quelques mots sur « l’affaire Lara Croft »

  1. Excellent article, très bien documenté, comme d’habitude.

    Ça m’embête de chipoter sur un point de détail, mais j’ai un peu tiqué sur l’expression « [elle] se fait agresser sexuellement ». Dans un contexte ou la culpabilisation des victimes est omniprésente, il vaut peut-être mieux éviter ce type de formulation et préférer « elle est victime d’une agression sexuelle » ?

    • Mais tu as 100% raison !!
      Moi aussi je m’insurge contre cette expression, mais parfois je ne fais pas gaffe et je l’utilise… :/

      Donc merci de me l’avoir fait remarquer ! 😀
      Je vais corriger ça dans la journée !

      Bises !

  2. J’ai une question qui me turlupine depuis que j’ai lu ton article sur la corrélation entre RP et RMA, j’en profite pour en faire part ici :
    Le Japon se targue d’avoir le niveau de viol le plus faible au monde. Pourtant l’archipel produit et commercialise sur son territoire des jeux de « viols », qui n’ont à ma connaissance pas vraiment d’équivalent sur le reste du globe (en tout cas dans les circuits traditionnels).
    Il y a eu quelques années le jeu « RapeLay » a défrayé la chronique, on jouait le rôle d’un violeur qui devait mater, agresser sexuellement et violer 3 femmes d’une même famille. Le tout dans un design manga qui permet d’éducolorer le viol pour le rendre acceptable.
    http://en.wikipedia.org/wiki/RapeLay
    Bref niveau RMA, il est difficile de trouver pire.

    Mais du coup, les gens expliquent le faible niveau de viol du Japon justement par l’effet cathartique de ce genre de jeu. Perso je suis sceptique, d’une part parce que les études que tu as rassemblé montre le contraire, d’autres part parce que visiblement les agressions sexuelles « quotidiennes » nécessitent la création de wagon spécial pour les femmes dans les trains.

    Du coup j’aimerais savoir si tu as une étude spécifique sur le Japon sur la relation entre RP/RMA, pour savoir ce qui s’y passe: est-ce que le viol est tellement « accepté » socialement que les femmes ne portent pas plainte, ou bien est-ce que la RP peut ne se traduire qu’exclusivement sous forme d’agression sexuelle (en gros, les agressions sexuelles compenseraient les viols… J’y crois pas mais on sait jamais) ou bien s’il y a encore une autre explication ?

    Merci et continue tes articles !

    • Coucou !
      Pour le RMA, je me souviens que l’étude portait sur des échantillons occidentaux, mais aussi sur un échantillon du Zimbawée, donc je pense que partout, le RMA est un facteur de RP.

      Je pense donc que le Japon n’y fait pas exception. Surtout que si tu as vu, les Japonais se montrent également sensibles à la violence des jeux-vidéos.

      Mais d’autres choses peuvent expliquer un faible niveau de viol : peut-être qu’en effet, les victimes ne parlent pas et qu’en réalité le taux de viol est beaucoup plus important. Peut-être aussi qu’il existe d’autres facteurs culturels qui permettent de diminuer la corrélation jeux avec viol- RP. Dans la méta-analyse d’Anderson, des indices semblent suggérer que les jeux vidéos violents ont un peu moins d’effets sur les cultures asiatiques. Cela pourrait être dû à certains facteurs culturels. Par exemple, au Japon, on favorise des émotions « socialement engageante » comme la culpabilité ou l’amitié. En Occident ou favorise les émotions « socialement désengageante » comme la colère, la fierté, etc.

      Bref, il n’y a jamais un seul facteur explicatif ! 🙂

    • Le cas des jeux de viol japonais a suffisament crée la polémique pour que leur production soit « bannie » des producteurs en 2009. Cependant, les studios trouvent toujours moyen de sortir de tels jeux en ne décriant pas le contenu, ou en hangeant le titre. Malheureusement, la production de films ou de mangas à viols n’a pas suscité la même polémique. La production amateur de films, jeux ou mangas (appelés « doujinshi ») reste légale et produit ce que les studios ne peuvent se permettre…

    • Désolé de ce commentaire un peu expéditif, mais il y a tellement de choses à dire sur la place de la Femme dans la société japonaise que je risque de perdre le fil si je me lance.

      La société japonaise est patriarcale et machiste. J’ai souvent l’impression de vivre dans les années 60…
      Il est évident que ce machiste ambiant fausse les statistiques officielles de viols : les cas sont rarement l’objet de plainte (par honte et/ou par « acceptation ») la Police minimise très souvent les faits (et interroge les victimes comme des coupables…).

      D’ailleurs, énormement de magazines féminins pour ado/jeunes adultes relaient des histoires et des sondages sur les relations sexuelles sous contrainte (pardonnez-moi cet euphémisme, pour moi ce sont des histoires de viols… mais pour elles je ne sais pas… elles ont l’air de trouver ça « dans l’ordre des choses ») qui feraient froid dans le dos chez nous.

      • Oui les statistiques officielles sous estime les viols au Japon encore plus qu’en France.
        Mais plusieurs études (dont celle de l’université de Hawaii*) mettent en évidence une grande baisse des crimes sexuels suite à la démocratisation de la pornographie au Japon. Ce n’est sûrement pas le seul facteur mais au vu des chiffres on ne peut pas prétendre le contraire.

        Je ne comprends pas les critiques envers les œuvres de fiction par contre l’article de Joystick me dérange parce qu’il n’exprime pas les pensée d’un personnage de fiction et parce qu’il est journaliste.
        Pour moi le risque principal est l’aggravation de la banalisation mais la censure ne règle pas le problème au contraire

        * études de l’université de hawaii: http://www.hawaii.edu/PCSS/biblio/articles/1961to1999/1999-pornography-rape-sex-crimes-japan.html qui conclu « It is certainly clear from our data and analysis that a massive increase in available pornography in Japan has been correlated with a dramatic decrease in sexual crimes and most so among youngsters as perpetrators or victims. We have mentioned some possible influential factors. »

  3. Bonjour,

    Autant j’ai effectivement trouvé anecdotique la question de Mademoiselle, autant je suis totalement d’accord avec votre article. Nous ne devons accepter aucune complaisance de vocabulaire, d’idée, d’image, d’excuse, de prétexte, que sais-je encore qui conduit à une agression sexuelle quelconque sur une femme.

    @vljn pour ce qui concerne le Japon, je me suis toujours dit que les chiffres étaient minorés et probablement inconnus ! Vous savez que l’essentiel des viols n’est pas connu en occident. Je ne vois pas pourquoi il n’en serait pas autrement au Japon. Je crains en qu’il n’y ait aucune raison pour qu’un pays qui fantasme sur des écolières puisse considérer comme une norme des relations sexuelles égales entre hommes et femmes.

  4. Bravo et merci, cet article, et les autres de ce blog que vous linkez me serviront d’outils pour faire comprendre l’enjeu de la chose à des personnes peu convaincues ou dubitatives ! C’est très important, le travail que vous faites !

  5. Bonjour,
    J’ai trouvé cet article hyper intéressant et très instructif. Je viens de voir les trois premiers épisodes de Games of Throne, et je ne me sens pas très bien. Le thème du viol revient très souvent et il très érotisé; et au bout du 2e épisode, l’héroine est contente de son sort. Eeet oui.

    • J’ai regardé la première saison de GoT il y a longtemps, et je ne me rappelle plus très bien. Par contre j’ai vu la saison 2 il y a quelques mois. J’ai en effet été perturbée par les scènes sexuelles qui empruntaient clairement des codes pornographiques : filles poussant des gémissement tout en subissant des pénétrations super violentes… :/

      Dommage car c’est vraiment une super série, avec des personnages féminins vraiment intéressants

      • Les « femmes qui gémissent » est une façon de montrer l’acte sexuel très répandu au Japon (clairement, l’ensemble des Hentaï sont fait de cette manière). Vous n’apréciez peut-être pas cette vision des choses, en attendant je ne vois pas le mal à voir une représentation de deux personnes qui s’aiment faire l’amour comme ils l’entendent.

        • Philippe, désolée, mais vous avez tort. Dans Game of Thrones (puisqu’Antisexisme parle de cela), on n’est pas face à la représentation de deux personnes qui s’aiment et font l’amour, justement. J’aime beaucoup cette série (livres et TV), mais ce qui est reproché à la série TV, c’est le principe de « sexposition » (scènes de sexe totalement gratuites – se déroulant dans un bordel, donc parler de « personnes qui s’aiment » est juste complètement ridicule – pour exposer certaines ficelles de l’histoire). Ce qui est également reproché, c’est la représentation du viol dans la 1ère saison, notamment à travers le personnage de Daenerys. Ou comment le viol conjugal devient « empowering »…C’est *un peu* gênant. Mais comme le dit Antisexisme, cet aspect de la série est contrebalancé par le traitement, assez exceptionnel dans la pop culture, des personnages féminins (beaucoup de femmes fortes, survivantes et guerrières, qui « existent » en-dehors des personnages masculins et non uniquement comme « love interests »).

    • OUI bon article !! mais à quoi cela sert-il, si les choses ne changent pas. si nous ne faisons que commmmenter.. commenter !! nous sommes toujours roulées dans la farine. et quelque part ceci arrange bien les dirigeants actuels. SINON il y a longtemps que on nous aurait  » baillonéées » et contrecarré…non ???

      • Commenter, diffuser, débattre sont déjà des pouvoirs à l’époque du web 2.0.
        Viraliser la chose et faire monter ces constats jusqu’au plus haute sphère et jusqu’à la population non connectée, c’est aussi ce pouvoir que nous avons par la parole. Et renoncer à le faire, c’est accepter que les choses ne changent pas.

        D’où l’impératif d’en parler et d’en faire parler autour de soi dans le monde virtuel comme réel 😉

        Chacun a son niveau peut faire changer les choses et les blogs dont celui d’antisexisme ont cette vocation informative.

  6. Pingback: Jeux vidéo | Pearltrees

  7. Bonjour et merci pour ce texte.
    En premier lieu, il est clair pour moi que la violence dans les jeux vidéos puis dans les films, de moindre manière, est vicieuse par le fait qu’elle provoque une excitation à la violence sans en constater réellement un ressenti physique. La programmation de la violence se fait donc conceptuellement et habitue un individu à son éventualité, ceci renforcé par les séquences filmées de fiction ou de TV news, avec des sentiments de haine exacerbés qui se justifient toujours.
    La catharsis peut jouer chez des enfants ou ado sur lesquels des adultes ont exercé une violence, chez lesquels donc existe latent mais bien réel un sentiment de terreur. Ils peuvent donc à ce niveau aussi, régler leur acceptation ou leur refus de cette violence connue et vécue et comment éventuellement y faire face ou arriver à s’y opposer ou la fuir.
    VK

  8. Bonjour.
    Bien que totalement profane en jeux vidéo, je serais tenté d’approuver cet article. Mais …
    Si on remplace « viol » par « homicide » (par exemple : « s’inquiéter de comment est dépeint un meurtre ou un assassinat est un combat important »), çà me semble fonctionner de la même façon.
    Or, personne ne semble s’offusquer de la représentation – souvent « érotisée » – des meurtres dans les jeux vidéo en général, et dans Tomb Raider en particulier, me semble-t-il.
    Quelqu’un pourrait m’expliquer?
    Merci d’avance.

      • Pas une excitation strictement sexuelle, c’est pourquoi « érotisée » était entre guillemets, mais une excitation quand même, un certain plaisir. Dans tous les cas une « récompense », puisque cela permet d’avancer dans le jeu.

  9. « La pornographie agit sur le cerveau comme une drogue – c’est une drogue. Regarder des films X déclenche une poussée d’adrénaline qui est ressentie dans le ventre et dans les organes génitaux, ainsi qu’une sécrétion de testostérone, d’ocytocine, de dopamine et de sérotonine. C’est un véritable cocktail de drogues. La pornographie est un excitant extrêmement puissant qui provoque flash et euphorie. Ce n’est pas un excitant sexuel mais un excitant mêlant peur, sexe, honte et colère. » WIKIPEDIA

  10. Vous parlez de 18 à 20 % de viols ou de tentatives de viols sur des femmes aux USA. Cependant, voici déjà plusieurs années que des chiffres « officiels » concernant les agressions sexuelles mentionnent que 25 à 29% des garçons et environ 35/36% des filles subissent au moins une tentative de viol avant l’âge de 18 ans, dont 45% avant les âges de 9 ou 10 ans. Ces chiffres provenaient de l’OMS qui les a réduit entre temps mais les chiffres en provenance du Canada où ces matières sont plus rigoureusement suivies se maintiennent à ce niveau.

    Voici les paragraphes que j’ai recopiés sur la question :

    Le Canada a fait une estimation nationale rendant compte de 30% de viols, 60% d’attouchements, 10 % d’exhibitionnisme et de conduites abusives sur la population mineure. On estime à 42% d’entre eux les victimes à long terme du SSPT.

    D’après le sondage national pour le Comité Badgley, seulement 23,8 % des femmes et 11,1 % des hommes agressés sexuellement ont fait des demandes d’aide !! C’est donc dire que la majorité des personnes agressées sexuellement, dont la plupart le sont durant l’enfance, gardent le secret.

    http://www.coe.int/t/dg3/children/1in5/default_fr.asp

    Les violences sexuelles sont fréquentes: suivant les études et les pays, elles toucheraient entre 20 et 30 % des personnes au cours de leur vie. En France, 16% des femmes ont subi des viols ou des tentatives de viols dans leur vie, dont 59% avant 18 ans (Bajos N., Bozon M.; équipe CSF. Contexte de la sexualité en France 2006).

    Une étude canadienne (McLeod 1992, Réseau d’action des femmes handicapées du Canada RAFH) a montré que 40% des femmes ayant un handicap physique vivront au moins une agression sexuelle au cours de leur vie. De 39 à 68 % des femmes présentant une déficience intellectuelle seront victimes d’au moins une agression sexuelle avant l’âge de 18 ans.

    VK

  11. Il semble comme j’aurais souhaité le dire à Mme Sastres que je trouve très irresponsable et pas très compétente en tant journaliste « scientifique » que M. Pierre Desmurget soit d’accord avec vous : le catharsis, ça marche pas. Même si celui-ci en parle tout particulièrement au sujet de la télévision, je ne saurais que conseiller à tout le monde de prendre les 90mins pour écouter cet conf de 2011 car même si c’est au sujet de la télévision, il parle surtout de la façon dont notre cerveau fonctionne et apprend… car c’est bien là que le bas blesse car on s’adresse surtout à des enfants, des adolescents.

    http://plusconscient.net/index.php/societe/francais/469-tv-lobotomie

    Le monsieur étant docteur en neuroscience et directeur de recherche à l’INSERM, ça lui donne un crédit certain en la matière. Contrairement à Mme Sastres et sa vision très litéro-romantique de la catharsis.

    A la décharge de madame Sastres, il y a mention sur la page de la catharsis de wikipedia d’une étude de Jean-Philippe Bloch sur la Catharsis et les séries télévisées qui semblerait avoir un effet mais n’ayant pas accès à cette étude, il est difficile de savoir à quoi s’en tenir. Il serait intéressant d’avoir un avis sur cette étude :
    Jean-Philippe Bloch, Catharsis et séries télévisées, Cahiers du CNRS n°527, 2011

    S’il vous plaît, prenez le temps d’écouter Pierre Desmurget, c’est juste 90mins de votre vie et ça rend moins c.. .

    Nowouai

  12. Pingback: Catharsis, jeux vidéos, pornographie, viol… : quelques mots sur « l’affaire Lara Croft »//Catharsis, video games, pornography, rape …: a few words about the “affair Lara Croft”//Catarsis, los videojuegos, la pornografía, violaci

  13. Désolé, je trouvais le reste de votre blog extrêmement intéressant. Mais ici comme dans le blog de Marl_lard vous passer un peu vite sur certains points d’argumentations.
    Une question pour ne pas faire trop long. Qu’est ce qui vous permets de dire que le jeu véhicule les mythes sur le viol (le but du jeu étant de traquer les agresseurs, l’agression du début, pour être perçue comme un élément déclencheur, ne peut pas être ambivalente selon moi) ?

    Je crois que vous caricaturez la position des gens qui ont comparé l’article de joystick avec la pornographie. Je n’ai lu nulle part que la pornographie est une protection contre le viol. Mais c’est surement un argument plus facile à contre-carrer que celui de dire que le fantasme de viol, avec ou sans le support de la pornographie, d’ailleurs, ne peut pas être répréhensible moralement, ou légalement, au moins de tomber dans une dérive totalitaire, une police de la pensée. De plus, la fantasme de viol concerne aussi les femmes. Et son interprétation psychologique le situe du côté de la transformation d’une angoisse.

    J’ai compris de vos précédents écrits que l’adhésion aux mythes du viol favorisait le passage à l’acte de viol, il ne me semble pas que vous montriez qu’ils en sont l’explication causale. Sans quoi on aurait pas une si grande corrélation entre les agressions, viols dans l’enfance et la propension à agresser/ violer à l’âge adulte. Le fait que des accusés de viol déclarent ne pas s’être rendu compte de leurs actes n’est pas une preuve : depuis quand les sciences sociales font de la parole des acteurs une source de vérité première, qui ne fait l’objet d’aucune suspicion, d’aucune interprétation ou contextualisation ? En particulier une parole devant une juridiction ne doit elle pas être d’abord prise comme un discours pris dans des intérêts largement prépondérants par rapport à l’idéal de libre expression ? Ne savez vous pas qu’un simple situation d’anonymat peut transformer totalement un discours ? Que le lieux et le récepteur influent autant sur la parole que son émetteur ?

    Votre thèse, que les croyances expliquent les actes, est le résultat d’une autre croyance : en l’hyper-rationalité des êtres humaines. C’est très séduisant, si il suffisait d’interroger chaque homme, de connaitre sa position idéologique sur les mythes du viol, et de l’enfermer en connaissance de cause, on serait bien protégées. Sauf que, dans les faits, tout comme on peut avoir la tête à gauche et « le cœur » à droite, ou l’inverse, et même si les positions idéologiques ont un impact statistique, les études de sciences sociales psycho, socio, histoire, montrent que les humains ne sont pas des êtres cohérents par nature.

    Le fait que j’imagine me faire violer quand je jouis, le fait de regarder des images pornographiques de soumission quand je me masturbe ne veut pas dire 1/ que j’adhere aux mythes du viol 2/ que j’ai effectivement envie de me faire violer. Et c’est la meme chose pour quelqu’un qui s’imagine en situation inverse.

    Lorsqu’il y a viol, il y a une volonté d’écrabouiller une personne bien précise, une ex par exemple, ou de dominer, de posséder intégralement, un membre de sa famille qui vous est assujetti, d’asseoir et de graver dans sa chair, son infériorité, son statut de possédé (pas de chose). Ce peut donc être le fait de mères, comme de pères ou d’oncles ou de grands frères et sœurs. En croyant libérer une parole, et en situant la lutte contre le viol à l’intérieur de la lutte féministe, vous poser un autre interdit : celui de penser les viols contre les petits garçons, et les attouchements des mères sur leurs enfants, qui sont des faits largement ignorés et pourtant très grave et très répandus.

    Je suis aussi très déçue que vous cédiez à l’argument d’autorité « je connais des gens qui…, ou j’ai moi-subi… » « alors je sais mieux que vous ». Si c’est un passage obligé alors, je suis une femme, et je parle en connaissance de cause, disons plutôt que, d’y être confronté, oblige à passer par un panel assez large d’état, et de la bonne grosse dépression qui font de la réflexion et de l’intellectualisation une nécessité vitale. Cependant je ne crois pas que l’exemplification soit une bonne source de connaissance, les exemples permettent d’établir des contrevérité, il est vrai, mais on ne bâtit pas une théorie sur la base des exemples. il faut convaincre, et vous ne le faites pas.

    • Une question pour ne pas faire trop long. Qu’est ce qui vous permets de dire que le jeu véhicule les mythes sur le viol (le but du jeu étant de traquer les agresseurs, l’agression du début, pour être perçue comme un élément déclencheur, ne peut pas être ambivalente selon moi) ?

      Justement je n’ai pas affirmé que le jeu véhiculait des mythes sur le viol… Je n’y ai pas joué, je n’ai vu qu’un trailer et j’ai écrit :

      Pour finir, revenons-en à Tomb Raider. Je ne considère pas que toute représentation d’un viol ou d’une agression sexuelle est problématique. Elle l’est si elle érotise ou minimise les violences sexuelles. Je n’ai vu que le trailer de Tom Raider et ça me parait insuffisant pour tirer des conclusions définitives. Ceci dit, je trouve déjà très maladroit de faire d’un sex-symbol comme Lara Croft une victime d’agression sexuelle (surtout si elle pousse des gémissements comme le dit le pigiste de Joystick). Cela ne fait qu’érotiser encore une fois les violences sexuelles.

      Je crois que vous caricaturez la position des gens qui ont comparé l’article de joystick avec la pornographie. Je n’ai lu nulle part que la pornographie est une protection contre le viol.

      Je l’ai lu plusieurs fois dans les commentaires, notamment les commentaires de l’article de Peggy Sastre.

      Mais c’est surement un argument plus facile à contre-carrer que celui de dire que le fantasme de viol, avec ou sans le support de la pornographie, d’ailleurs, ne peut pas être répréhensible moralement, ou légalement, au moins de tomber dans une dérive totalitaire, une police de la pensée. De plus, la fantasme de viol concerne aussi les femmes. Et son interprétation psychologique le situe du côté de la transformation d’une angoisse.

      Je ne pense pas qu’un fantasme est répréhensible moralement… Ceci dit je crois que ça n’empêche pas de s’interroger sur le pourquoi de ces fantasmes et qu’est ce qu’ils peuvent en dire sur notre société.

      J’ai compris de vos précédents écrits que l’adhésion aux mythes du viol favorisait le passage à l’acte de viol, il ne me semble pas que vous montriez qu’ils en sont l’explication causale. Sans quoi on aurait pas une si grande corrélation entre les agressions, viols dans l’enfance et la propension à agresser/ violer à l’âge adulte.

      Il n’y pas UNE explication causale, mais plusieurs facteurs. L’adhésion au mythes sur le viol favorise le passage à l’acte et est l’une des explications causales.
      J’avoue que je n’avais pas entendu parler de cette corrélation… Mais je ne vois pas en quoi ça va à l’encontre de ce que j’ai écrit ?

      Le fait que des accusés de viol déclarent ne pas s’être rendu compte de leurs actes n’est pas une preuve : depuis quand les sciences sociales font de la parole des acteurs une source de vérité première, qui ne fait l’objet d’aucune suspicion, d’aucune interprétation ou contextualisation ? En particulier une parole devant une juridiction ne doit elle pas être d’abord prise comme un discours pris dans des intérêts largement prépondérants par rapport à l’idéal de libre expression ? Ne savez vous pas qu’un simple situation d’anonymat peut transformer totalement un discours ? Que le lieux et le récepteur influent autant sur la parole que son émetteur ?

      Je le sais très bien et j’en ai pleinement conscience. Ceci dit, dans ma conclusion, je n’essaye pas d’apporter de preuves, je ne suis plus trop dans l’argumentaire, je m’interroge juste sur des cas que l’on m’a racontée.
      Mais pour être plus précis, disons que dans un cas, les agresseurs se sont vanté de leur forfait auprès de leurs amis… et d’après ce que l’on ma raconté, la thèse de l’inconscience me parait plausible.

      Votre thèse, que les croyances expliquent les actes, est le résultat d’une autre croyance : en l’hyper-rationalité des êtres humaines. C’est très séduisant, si il suffisait d’interroger chaque homme, de connaitre sa position idéologique sur les mythes du viol, et de l’enfermer en connaissance de cause, on serait bien protégées. Sauf que, dans les faits, tout comme on peut avoir la tête à gauche et “le cœur” à droite, ou l’inverse, et même si les positions idéologiques ont un impact statistique, les études de sciences sociales psycho, socio, histoire, montrent que les humains ne sont pas des êtres cohérents par nature.

      Où est ce que j’ai dit qu’il fallait enfermer les gens avec certaine idéologie ?
      Je ne crois pas du tout à l’hyper-rationnalité des êtres humains sinon et je ne vois pas où j’ai pu écrire quelque chose de pareil.

      Le fait que j’imagine me faire violer quand je jouis, le fait de regarder des images pornographiques de soumission quand je me masturbe ne veut pas dire 1/ que j’adhere aux mythes du viol 2/ que j’ai effectivement envie de me faire violer. Et c’est la meme chose pour quelqu’un qui s’imagine en situation inverse.

      Ben justement pour moi, les fantasmes de se faire violer ne sont pas vraiment des fantasmes de viol. Je m’explique : quand on s’imagine se faire violer, on « choisit » par qui, quand et comment. Au final, on « contrôle » imaginairement la situation, ce qui n’est pas le cas d’un vrai viol.
      Après je trouve que les fantasmes de viol en tant que victime ou en tant qu’agresseur ne sont pas les mêmes. Quand on fantasme de violer quelqu’un, on fantasme quelque chose de très agressif et violent envers quelqu’un d’autre.

      Ce peut donc être le fait de mères, comme de pères ou d’oncles ou de grands frères et sœurs. En croyant libérer une parole, et en situant la lutte contre le viol à l’intérieur de la lutte féministe, vous poser un autre interdit : celui de penser les viols contre les petits garçons, et les attouchements des mères sur leurs enfants, qui sont des faits largement ignorés et pourtant très grave et très répandus.

      Je n’ignore pas pas le fait que les femmes puissent être violentes et pédophiles. Mais d’après les études de victimologie, il y a quand même 99% d’agresseurs hommes pour l’ensemble des viols.
      Ensuite non, la lutte féministe, donc contre le patriarcat, n’oublie pas les attouchements des petits garçons. En fait je considère que le patriarcat, c’est la domination des femmes, mais aussi d’autres êtres comme les enfants et les animaux. Les petits garçons ne sont pas considérés comme des vrais hommes, ils sont rattachés à la sphère de la féminité/maternité, et sont à ce titre dominés.
      Bref, je n’oublie pas que les enfants, garçons et filles, sont victimes du patriarcat.

      Je suis aussi très déçue que vous cédiez à l’argument d’autorité “je connais des gens qui…, ou j’ai moi-subi…” “alors je sais mieux que vous”. Si c’est un passage obligé alors, je suis une femme, et je parle en connaissance de cause, disons plutôt que, d’y être confronté, oblige à passer par un panel assez large d’état, et de la bonne grosse dépression qui font de la réflexion et de l’intellectualisation une nécessité vitale. Cependant je ne crois pas que l’exemplification soit une bonne source de connaissance, les exemples permettent d’établir des contrevérité, il est vrai, mais on ne bâtit pas une théorie sur la base des exemples. il faut convaincre, et vous ne le faites pas.

      Franchement je ne comprend pas que vous me dîtes ça… Pour bâtir ma théorie, je me suis basée sur des travaux de psychologies expérimentales, que ce soit dans mes articles sur les mythes sur le viol ou ici. Et à la fin, j’ai osé émettre des exemples personnels qui allaient dans le sens de la théorie. Bref c’est vraiment d’être de mauvaise foi que de dire que je fonde toute ma théorie sur des exemples O__o.

      • Rassurez-vous, je ne vais pas _encore_ poster un commentaire de 3 pages ! 😀

        Par contre je souhaiterai avoir un lien vers un article, un rapport, une étude qui montre :
        « Je n’ignore pas pas le fait que les femmes puissent être violentes et pédophiles. Mais d’après les études de victimologie, il y a quand même 99% d’agresseurs hommes pour l’ensemble des viols. »

        Merci.

          • L’organisme cité a un intérêt direct à montrer la victimisation des femmes et je comprend tout à fait que vous adhérez aux mêmes valeurs que celui-ci.

            Cependant nous ne pouvons pas prendre en compte de manière impartiale des données provenant de ce collectif, qui est intéressé.

            • Non mais la mauvaise foi, j’hallucine !!

              Alors il faut prendre pour argent comptant ce que nous dit Katsuni, réalisatrice de porno et business-woman dans cette industrie. Non, non, quand elle nous parle du monde merveilleux de la pornographie, ce n’est absolument pas intéressée.

              Par contre les chiffres d’associations : bidon.

              Pfff
              Bon, et pour d’autres personnes qui passeraient par là (pas pour vous, car je ne discute pas avec les gens de mauvaise foi), les chiffres du CVCF sont équivalents à ceux d’autres études :
              – 90% des victimes sont des femmes (U.S. Department of Justice. 2003 National Crime Victimization Survey. 2003. : et http://bjs.ojp.usdoj.gov/content/pub/pdf/SOO.PDF)
              – 99% des agresseurs sont des hommes ( http://bjs.ojp.usdoj.gov/content/pub/pdf/SOO.PDF par exemple)

  14. en meme temps la plupart des études dont vous parler ne portent pas de viols mais de propension à avoir des comportements d’acceptation de la violence faite sur les femmes, ou de choses aussi mal défini que l’aggressivité. Je ne vois rien d’autres qu’une traque des comportements déviants, et le présupposé que ces comportements sont des symptomes annonciateurs de viol. Des chiffres sur les relations entre ces comportements, idées et les viols vous n’en avez pas, sauf référence 21, qui ne va pas dans votre sens, donc pour celle là vous retrouvez votre sens critique pour analyser termes, conditions et limites de l’étude. Ca aussi c’est de la mauvaise foi. Ensuite arreter de vous contredire, le jeu ne banalise pas le viol puisqu’il en fait le motif d’une épopée meurtriere.

    Dans le fantasme de viol, la personne qui fantasme joue forcément tous les rôles, c’est elle qui écrit le scénario et fait vivre chaque personnage, c’est pourquoi je ne différencie pas entre fantasme d’être violé et fantasme de violer. De toute façon dans les deux cas tous les protagonistes sont fictifs, c’est un fantasme. il n’y a pas de « envers quelqu’un d’autre » dans un fantasme, un fantasme est autonome.

    « je ne montre pas que le jeu participe à ancrer les mythes sur le viol »
    j’aimerais bien savoir si vous montrez quelque chose finalement.

    • Bon, c’est quoi votre problème ? Si mon article est tellement pourri, il suffit de cliquer sur la petite croix en haut à droite.

      J’ai pris le temps de vous répondre, donc merci de me parler avec respect.

      Que ce soit clair : c’est le dernier commentaire écrit sur ce ton agressif que j’accepte.

      Je n’ai même pas envie de répondre à vos remarques, vous avez visiblement juste l’envie de dénigrer mon article.

      J’accepte les critiques constructives, les discussions, etc. pas les attaques gratuites.

      • Cette réponse (bien que mal écrite et sans les formes qui conviendraient) me semble tout à fait pertinente et en aucun cas une insulte.

        C’est exactement ce à quoi je pensais moi-même en lisant cet article, qui semble revenir sur des préjugés qui me semblent à moi, totalement absurdes sur les jeux vidéos et les films violents.

        Je suis moi-même un joueur (ah oui, petite confession : je suis un homme, me jugeriez-vous différemment si ce n’était pas le cas ?), moins maintenant à cause de mes études et de divers projets, mais j’ai déjà joué à beaucoup (et j’y tiens : beaucoup) de jeux vidéos violents, sanglants *et* réalistes et ça faisait partie de mes préférés… à côté de tout un tas d’autres jeux absolument différents (réflexion, stratégie et j’en passe) !
        Ce n’est en aucun cas une drogue (j’ai arrêté de jouer du jour au lendemain), en aucun cas je ne réclame « ma dose ».
        Pourtant *j’adore* les jeux les plus trash et les plus cruels. Car ceci, pour rappel, est une *fiction*. C’est même un sport pour certains, il y a parfois un fort esprit de compétition, mais non _de violence_.
        On pourrait arguer que ce n’est que l’avis d’une personne, qu’en aucun cas on ne peut en tirer un jugement global et universel, et je suis d’accord.
        En effet, comme absolument *tout le reste*.
        Un acte ne peut pas qualifier une personne.
        Non, le fait que j’ai peu laissé l’accoudoir à mes petites amies quand on était au cinéma ne veut pas dire que je suis sexiste,
        quand je reste devant mon écran d’ordinateur et que je laisse ma compagne faire à manger ce n’est pas une preuve de ma misogynie, et je peux continuer encore longtemps.

        Dans un des cours sur la fouille de données (en informatique) on nous a appris que la première chose découverte en analysant une base de données d’achats dans un magasin a été que les personnes qui achetaient le plus de bières achetaient également des couches pour bébés.
        En prenant cette information, on peut dire que les personnes ayant un bébé ont le plus envie de picoler (idée assez raisonnable), mais pourquoi pas quelque-chose de totalement absurde comme les *hommes* qui boivent ont des fantasmes sexuels étranges, ou encore plein d’autres choses.
        Bref, tout et n’importe quoi. Ce qui est certain, c’est qu’en aucun cas on ne sait exactement ce qu’ils font avec les produits achetés.
        Tout comme pour une personne « un peu plus agressive qu’avant » (déjà très subjectif comme notion) : que fait-elle de cette agressivité ? Elle va violer des gens ? Vous avez un chiffre dessus ? Il ne me semble pas.

        Bon, revenons à nos moutons. Concernant les jeux vidéos vous faites très rapidement un parallèle avec le porno.
        Je trouve ce raccourci extrêmement maladroit, et qui semble être utile à votre raisonnement que pour parler de « viols dus à la pornographie ». Rien à voir avec le jeu vidéo.
        Passons.
        L’article de JoyStick est simplement un trait d’humour, comme il se fait très largement dans l’univers des jeux vidéos.
        Ce genre d’humour (parfois à la limite de la misogynie) n’est là que pour divertir, et je pense qu’il est bon de plaisanter de tout et d’en avoir le droit (ne pas s’auto-censurer).
        Ce même humour fait également rire ma femme. En effet, nous regardons l’émission « EXP » sur la chaîne NoLife et le présentateur (ayant pour pseudonyme « Médoc ») fait un commentaire structuré sur des jeux vidéos et sort parfois des phrases misogynes mais toujours dans un esprit « bon enfant », il fait beaucoup d’autodérision également et en aucun cas ce qu’il dit est à prendre au premier degré (tout est dit sur le ton de _l’humour_).
        C’est également ce que disent tous les animateurs de cette chaîne, ils jouent tous à des jeux vidéos, parfois violents, mais dans tous les cas c’est dans la joie et la bonne humeur avec un esprit bon enfant (très souvent dit dans l’émission « Chez Marcus » par exemple).

        Toutes les études que vous montrez sont sujettes à être nuancées, or vous ne le soulignez *que* sur celle sur laquelle vous n’êtes pas d’accord (la 21). Pour moi c’est de la partialité.
        Il est facile de voir l’effet de l’alcool sur une personne : on boit et on se sent vite « pompette » et si on continue on risque même d’aller vomir et de se retrouver dans le coma. L’effet est direct.
        Pour les jeux vidéos et les films, l’effet immédiat est une excitation (par exemple pour un jeu d’horreur assez prenant), une augmentation du poul et on est pris dans l’histoire (comme pour un bouquin).
        Si je dois tuer mille personnes dans le jeu, je ne vais pas sortir de chez moi, une machette à la main dans le but de reproduire ça.
        Et vous le dites également : les gens les plus concernés pour être violent suite à un jeu ou un film, ce sont les gens qui sont colériques.
        Vous dites donc bien qu’il n’y a pas vraiment de rapport, les colériques sont agressifs, oui c’est normal ils sont colériques on vient de le dire !

        De manière générale vis-à-vis de ce blog :
        Mon avis sur ce qui est important, dont nous devrions tous avoir conscience, est qu’une personne qui souhaite faire quelque-chose *doit être en mesure de* le faire (accès à un poste par exemple, le droit de vote, le droit de parole etc.).
        Un exemple concret serait qu’une femme (par exemple) qui souhaite faire de la politique puisse le faire.
        HELLO ON EST EN 2012 ET IL Y A DES FEMMES POLITIQUES.
        Votre combat *principal* (si je puis dire) en tant que féministe est déjà gagné _en France_. Vous avez autant de droits que les hommes. Ne confondons pas la possibilité de faire avec la volonté de faire !
        Prenons l’exemple de l’informatique : il y a peu de femmes qui _choisissent_ de faire leurs études dans ce domaine. Il y a donc _logiquement_ plus d’hommes que de femmes ingénieurs en informatique.
        Cet état de fait traduit-il pour autant une discrimination ? Non, car la liberté _de choix_ au départ est bien présente. Le fait qu’il y ait plus d’hommes qui exercent un métier en particulier ne veut pas dire que la porte est fermée aux femmes, simplement qu’il y a moins de femmes que d’hommes qui font ce choix.
        Et si nous reprenions l’argument de la « volonté » avec un exemple concret que vous avez cité dans votre blog (un sujet assez « léger ») : les hommes prennent plus souvent l’accoudoir que les femmes dans un cinéma.
        Qui vous dit qu’ils le prennent de force ? Ne vous dites-vous pas que c’est parce que l’homme prend plus de place ? Qu’il a peut-être demandé à sa compagne et qu’elle n’en voulait pas ?
        Encore une fois, on peut faire dire ce qu’on veut à des chiffres.

        Certes il y a quelques préjugés un peu machistes qui perdurent et notamment à la télévision et dans les publicités
        (je déteste voir une pub pour du parfum et voir explicitement un plan à 3 version « porno chic », ça n’a aucun FOUTU rapport avec le parfum, c’est assez lourd et peu original).
        Cependant je crois que vous en parlez déjà un peu au travers de vos articles.
        S’il y a un combat à mener actuellement, ce serait pour dénoncer ce qui se passe dans certains pays où la femme n’a aucun droit, où des petites filles se font mutiler (souvent poussées par leur propre mère) pour ne pas pouvoir ressentir de plaisir (interdit aux femmes), où des lesbiennes se font violer pour « revenir dans le droit chemin » dicté par la religion du pays, etc.

        Et enfin, le sujet sur les jeux vidéos violents a déjà de toutes manières fait couler beaucoup d’encre.
        En voici un exemple parmi tant d’autres : http://tempsreel.nouvelobs.com/opinions/20110622.OBS5647/non-mme-morano-les-jeux-videos-ne-rendent-pas-violent.html

        Sachez enfin que je suis quelqu’un de très « ouvert », je suis pour le partage des tâches ménagères, pour le droit à l’homosexualité et leur reconnaissance, pour le transexualisme, pour le droit à l’anonymat et finalement tout ce qui ne déroge pas à la règle « ne fait pas à autrui ce que tu ne veux pas qu’il te fasse » en appliquant ceci à tout le monde sans distinction d’appartenance éthnique, de sexualité ou autre.
        Et je suis également actif sur divers plans : j’encourage l’utilisation de « logiciels libres », le libre échange sur internet de manière conforme à la « neutralité du net » (je suis président d’un fournisseur d’accès à internet associatif) et la liberté d’expression qui est (et ceci est assez peu connu) de plus en plus menacée en France (et oui, même chez nous).

        Je pourrais parler encore longtemps, mais il faut bien une fin à tout. Je vous remercie pour votre lecture.

        Ce commentaire a été lu et approuvé par une femme, et c’est moi qui fait la vaiselle à la maison (et on se partage les autres tâches ménagères ! 😀 ).

        Je pense sincèrement (au vu de certains de vos commentaires & articles) que malgré tout, vous êtes assez cultivée et ouverte d’esprit pour savoir qu’il n’est pas bon de censurer. Et rien que pour cela je vous dis : merci.

        • *poumpidoudoudou* MANSPLAINING !
          Bon, c’est pas cool de répondre comme ça car cela peut braquer les gens. C’est dommage, n’y connaissant rien aux sciences ni à leur méthodologie, on peut facilement me faire remettre en question un argumentaire qui m’avait convaincu. Mais voilà, votre commentaire perd forcément de son intérêt (et de son sérieux) dès que vous évoquez l’humouuuur. Il a bon dos celui-ci ; et sachez que ce n’est de l’humour que si on comprend aisément que ce qu’une personne dit, pour rigoler, n’est pas ce qu’elle pense.
          Mais ce qui est encore plus agaçant c’est ça : « Votre combat *principal* (si je puis dire) en tant que féministe est déjà gagné _en France_. Vous avez autant de droits que les hommes. »
          Toutafé. D’une, l’égalité en droit ne signifie pas DU TOUT l’égalité en pratique. De deux, vous avez entendu parler de ces femmes qui meurent tous les 3 jours sous les coups de leur compagnon ?

          Si vous êtes quelqu’un de si ouvert, pouvez-vous remettre en question vos idées préconçues sur l’égalité-déjà-acquise ? et vous-même également ? Puisque le sexisme n’est pas toujours conscient ou volontaire, s’il vous arrive parfois d’utiliser l’accoudoir au détriment de votre amie, peut-être faudrait-il se demander en quoi cela semble « naturel » et si votre amie n’a pas intégré inconsciemment qu’elle devait vous laisser l’accoudoir, non ?

          • Ce n’est pas « dommage » de remettre en question un argumentaire (même le mien, hein? 😀 ). Au contraire, si nous écrivons c’est effectivement pour faire changer les esprits.

            Oui, j’évoque « l’humour ». Car c’est souvent sur ce ton là que l’on s’exprime en parlant de jeux vidéos, qui est un partage et une source de plaisir avant d’être quelque-chose de « sérieux » même lorsque l’histoire du jeu auquel on s’adonne est violente et « premier » degré. Aucun journaliste spécialisé sur ce sujet (le jeu) ne se permettrait de parler de manière sexiste et discriminante (comme très très souvent dans l’émission EXP comme dit plus haut) si ce n’était pas sur le ton de l’humour. Que vous n’aillez pas compris cela n’est pas bien grave, mais la première chose à faire dans ce cas ce n’est pas de dénoncer de manière automatique « le sexisme dans le jeu vidéo » mais plutôt de faire preuve d’ouverture d’esprit et de vous y intéresser un minimum (connaître ce qu’on combat, c’est indispensable) et très vite vous auriez laisser tomber car en tant que joueur on sait très bien que ce qui est dit est à prendre à la légère.

            Ok. Là nous ne parlons donc plus de jeux vidéos, j’espère vous avoir fait comprendre qu’il y avait un fort malentendu.

            Une égalité « dans le droit » n’est effectivement pas « dans la pratique ». Cependant, en France nous avons des lois contre les agressions _de toutes sortes et envers tout le monde_. Dans la pratique également, les femmes ont autant de droit que les hommes. Nous avons en France des femmes pilotes de chasse, des femmes policières, des femmes dans la politique, des femmes cuisinières dans de grand restaurants… Bref, dans notre culture nous avons intégré la place de la femme partout où il y avait des hommes. Les femmes ont le _droit_ de tout faire à l’égal d’un homme. Dire qu’il y a des femmes « battues » ne vous permet pas de renier le fait que vous avez ce droit et que vous l’exercez.

            Comme je vous l’ai déjà dit, je suis activiste. Une notion qui n’est toujours pas inscrite dans la loi est « la neutralité du net », qui permet donc à chacun d’accéder à *tout* internet (les sites web mais également tout service utilisant n’importe quel protocole) de manière anonyme, sans identification de la part du fournisseur d’accès à internet et sans censure. Ceci nous pose problème. Quand ce n’est pas dans la loi on ne peut pas le défendre de manière efficace devant la justice. Ce qui n’est pas inscrit dans la loi est toujours « dans le flou » pour les juges et les avocats. Pour une femme qui serait battue, on peut la défendre. S’il y a des cas où ce n’est pas fait, ce n’est pas normal mais vous avez des armes pour vous défendre (le droit inscrit dans la loi) et en aucun cas vous ne pouvez renier vos acquis !

            Il y a sûrement encore quelques sexistes, oui. Tout comme il y a encore des personnes qui pensent que la terre est plate. Je ne vais pas crier au scandale pour autant.

            Vous dites « il y a une femme qui meurt tous les 3 jours sous les coups de son compagnon », oui mais en quoi ce n’est pas défendu ? Si une femme va porter plainte, elle sera protégée. Le fait qu’elle ne cherche pas à se protéger est un problème en soi, peut-être devrait-elle se faire aider par un(e) ami(e) ? En attendant il ne faut pas confondre ce qui se passe pour quelques individus avec une culture nationale. Si une personne dans ma famille se faisait battre par son (ou sa) conjoint(e) alors je l’aiderais à porter plainte ou au moins à quitter cette personne. Mon avis est que c’est la seule chose raisonnable à faire.

            Et si nous prenions un exemple choquant, extrème, comme vous semblez en être friante ? Les *mères* dans certains pays du Moyen-Orient amènent leur toute jeune fille à se faire couper leur clitoris pour ne pas ressentir du plaisir. Dans le reportage que j’ai vu, une petite fille est allée se faire mutiler dans un hôpital où *des femmes* pratiquent ça à longueur de journée (c’était la numéro 53 à passer). Je ne sais pas si elles ont des droits dans leur pays, en attendant ces *femmes* et ces hommes sont responsables de cette tragédie. Ceci est une culture nationale.

            Une chose que je regrette amèrement, c’est de voir sur ce blog (et votre commentaire va hélas dans ce sens) que vous essayez de nuancer mais malgré tout en vous lisant ce sont toujours les « hommes qui battent les femmes », « les hommes sont agressifs », etc. Les femmes qui se battent contre des femmes (ou même qui battent leur compagnon), nous sommes évidemment tous d’accord pour dire que ça n’existe pas.

            Et pour l’accoudoir : je demande toujours.

            • Bonjour

              Vous semblez penser qu’à partir du moment où une loi a été promulguée, le problème est réglé. Comme vous le savez sans aucun doute, la plupart des pays ou est pratiquée l’excision a interdit cette pratique. vous avez vous même constaté que l’interdiction ne fonctionne pas.
              Il n’est nul besoin pour autant de nous renvoyer à d’autres pays alors qu’il reste tant de travail ici. il y a quelques 50 000 viols par an en France ; l’immense majorité des victimes sont des femmes. les coupables des hommes. Il ne suffit pas de dire qu’il y a une loi et qu’il n’y a qu’à porter plainte.
              – peut être peut on penser en termes de prevention et se demander comment empêcher le nb de viols
              – très peu de victimes portent plainte car elles ont été éduquées dans l’idée qu’une femme violée l’a bien cherchée. (comme une femme battue pense souvent l’avoir cherché, il ne suffit pas de dire « ya qu’à faut qu’on »).

              sur l’humour. l’humour n’est jamais gratuit, à prendre hors d’une société donnée. si l’on se moque essentiellement des noirs, homosexuels, femmes, juifs et pas des hommes blancs hétérosexuels cela n’est pas un hasard.
              le second degré n’explique pas tout. que votre femme ou vous même trouve telle ou telle chose drôle n’empêche pas d’autres de pouvoir se sentir blessés ou attaqués ou de questionner ce type d’humour. pourquoi faudrait il que l’humour passe forcément par le sexisme ou le racisme ?

              « Il y a sûrement encore quelques sexistes, oui. Tout comme il y a encore des personnes qui pensent que la terre est plate. Je ne vais pas crier au scandale pour autant. »
              3/4 des emplois précaires exercés par des femmes
              inégalités salariales
              viols
              très peu de femmes aux postes de pouvoir éco ou politique

              vous me répondrez qu’elles ont toute latitude pour y aller et que personne ne les en empêche. a part le conditionnement dés la naissance, les restrictions (ne sors pas, ne te conduis pas de manière agressive etc), les insultes, en effet rien ne les en empêche.

              par aillers il faudrait que vous admettiez que votre exemple personnel, n’a en sociologie aucune espece d’importance.

              dire que vous faites la vaisselle n’est d’aucun intérêt à moins que vous souhaitiez être compliqué pour cela. or, vous n’avez plus 5 ans si ?

              • Je n’ai pas dit qu’une loi promulguée était la fin de tous les maux. Si la loi n’est pas respectée ceci est effectivement un problème, mais pas celui des féministes mais de tout le monde, tous les citoyens confondus.
                Pour le reste du commentaire lié à ce sujet, je suis d’accord, peut-être penses-tu que la vision qu’ont certaines personnes (femmes y compris) sur les femmes devrait changer. Pour cela, tu peux effectivement parler autour de toi, à tes proches, et même ce blog est justifié par l’envie de partager ces arguments, ce point de vue. Cependant n’allez pas dire que « l’interdiction ne fonctionne pas », car c’est complètement _faux_. C’est le début de la démarche ! Tout comme je l’expliquais avec ce que je défend moi, à savoir la neutralité du net.
                Dans tous les cas, ce n’est pas parce qu’il y a de la violence dans un film ou dans un jeu vidéo que les femmes sont « éduquées dans l’idée qu’une femme violée l’a bien cherchée ».
                Clairement votre campagne de sensibilisation n’a pas à passer par ça, une stigmatisation.

                Sur l’humour : je suis pour plaisanter de tout. Vous n’appréciez pas un type d’humour ? Vous trouvez que la personne tape toujours sur les mêmes ? C’est votre droit. Vous pouvez en parler si vous le souhaitez, et en faire un débat.
                Et si on en faisait débat, je dirais que si nous ne devions plus plaisanter sur tel ou tel sujet, ce serait simplement une preuve de fermeture d’esprit. Comme je vous le disais à propos de Médoc et ses camarades sur la chaîne NoLife : ils envoient des vannes sur tout le monde, tout le temps. Femmes, hommes, noirs, arabes, blancs, hétéros, gay, japonais, français, tout le monde y passe. Et en aucun cas ça ne sort du cadre « bon enfant ». Quand j’étais petit, j’étais assez corpulent, et j’étais le premier à en rire. J’ai connu un handicapé (en chaise roulante) qui était le premier à dire des expressions comme « prendre les jambes à son cou ». Si des femmes n’aiment pas qu’on puisse rire des femmes, c’est juste une preuve de fermeture d’esprit à peu près aussi bête que les hommes machistes.

                Concernant les emplois précaires, inégalités salariales, peu de femmes à certains postes etc. Dire que c’est nécessairement la faute _aux hommes_ c’est de la stigmatisation. En parler autour de soi ça peut être bien, essayer de promouvoir ces postes et donner envie à des femmes d’y accéder, je n’ai absolument rien contre. Dans mes études j’ai rencontré quelques filles, elles ont souvent eu envie de faire de l’informatique et personne ne les a ni poussée ni dissuadée d’en faire. Tout comme il y a assez peu d’hommes qui vont faire de la communication ou des langues. C’est simplement un fait. De plus les affiches concernant la filière « informatique » du campus montrent des femmes, autant que d’hommes.

                Dire que je fais la vaisselle (ce qui est vrai) permettait de souligner avec humour que je ne suis pas *totalement machiste* comme certains commentaires le laissent penser.

                  • Vous n’arrêtez pas de dire « femme victime », les « femmes en emploi précaire », les « femmes victimes de viols » … l’ensemble de votre commentaire est tourné de cette façon. À croire que sans les hommes tous vos problèmes seraient résolus.

                    Mon argumentaire n’est pas fondé sur « les femmes » ou une partie de la population en général et je fais un effort pour nuancer mes propos.

                    • Personnellement, j’ai pas envie de vous donner des cours de féminisme ; si vous avez pas compris qu’on est dans l’analyse politique, c’est pas mon problème (voir notamment la règle 6 – et la 5 aussi, vous vous sentirez plus léger : http://www.jesuisfeministe.com/?page_id=1792 )
                      Mais, puisque je ne peux pas vous laisser croire qu’on à rien à vous redire parce qu’on ne donne pas suite à vos messages (et vous allez comprendre pourquoi), je vous laisse apprécier ce petit jeu. Le bingo féministe ! Si vous cochez une seule de ces cases, vous êtes hors-jeu.
                      http://les-furies.blogspot.fr/2012/07/bingo-feministe.html
                      Et vous faites un joli score.
                      Au revoir.

        • « L’article de JoyStick est simplement un trait d’humour, comme il se fait très largement dans l’univers des jeux vidéos. »

          « Votre combat *principal* (si je puis dire) en tant que féministe est déjà gagné _en France_. »

          « Prenons l’exemple de l’informatique : il y a peu de femmes qui _choisissent_ de faire leurs études dans ce domaine. Il y a donc _logiquement_ plus d’hommes que de femmes ingénieurs en informatique. »

          « Sachez enfin que je suis quelqu’un de très “ouvert”, je suis pour le partage des tâches ménagères »

          Monsieur, vous êtes totalement stupide et machiste.

          Cordialement.

            • Comme je suis désormais sujette à censure, je retente pour se message, avec plus de formes.

              Madame l’autrice de ce blog pour qui je n’ai aucune animosité personnelle mais dont je souhaite discuter la construction argumentative afin de montrer que le féminisme que défend la dite dame l’autrice est susceptible de créer la discorde au sein des féministes, car il oppose hommes contre femmes, gamers-pervers-qui-se masturbent-sur-le-net-et-sujet-à-la-violence contre gens normaux-qui-ne-violent-personne-c’est bien normal-vu-ils-ne-jouent pas aux JV. Et que je trouve ces clivages nocifs, caricaturaux et culpabilisants pour les hommes, que j’ai envie de défendre même lrosqu’ils ont des fantasmes bizarres.

              Je disait à Philippe : Hum merci même si je suis pas d’accord pour l’accoudoir 😉

              Je demandais à l’autrice :
              Je crois qu’il serait bon de préciser ce que vous critiquez afin d’y voir plus clair, et je voudrait vous proposer ces deux options non pas pour vous contraindre, (mais pour vous montrer qu’il n’y a pas de rapport entre le patriarcat et les jeux videos.)

              1/ Soit c’est le patriarcat, qui structure nos modes de vie et assigne des rôles sociaux sexués qui tendent à amoindrir les ambitions féminines à à rabrouer les envies de réussites des femmes et à favoriser les violences faites contre le femmes au titre de leur « irresponsabilité ». (donc hommes et femmes seraient concernés par la detection de ces « structures »)
              Et dans ce cas il faut regarder en face le fait que les jeux vidéo cohabitent avec la période historiquement le plus vindicative contre le patriarcat et où l’égalité existe au moins dans le droit.

              2 / Soit vous désignez l’industrie du jeux vidéo, la pornographie et les hommes d’être coupable de tous nos maux de femmes. Et dans ce cas vous vous retrouvez à nous informer qu’une étude montre que les jeux vidéos rendent agressifs les gens colériques. Vous oubliez toute profondeur historique au phénomène de la violence en général et de la tolérance envers les violences faites aux femmes.
              (petit exemple jusque dans les années 1960, un homme qui tuait sa femme bénéficiait de circonstances atténuantes si il l’avait surprise avec son amant, mais cette clause ne valait que dans ce sens là ; sans parler des chasses aux femmes libérées qu’a ponctuellement orchestré le christianisme depuis 2000 ans)

              je passe sur la pornographie car c’est surement ce passage qui m’a valu votre censure.

              Et je vous propose une étude inversée, vous en connaissez peut etre du genre, je voudrais savoir, car selon moi, ce qui serait intéressant, serait de partir à l’inverse, non pas d’étudier la population des gamers et de testé leur aggressivité et leur tolérance-aux-violences-auxquelles-ils-ne-participent pas, mais d’étudier la population des violeurs, pour savoir combien sont passé à l’acte après plusieurs mois enfermé dans une cave à regarder des porno et à lire joystick tout en s’exitant sur une manette de jeu.

              J’espère grandement ne pas avoir heurté votre susceptibilité en vous contredisant, je serais ravie que vous me contredisiez a votre tour afin que je m’aperçoive de mon erreur si il y a. En effet la seule chose qui m’anime est, en tant que féministe, de pouvoir continuer à me sentir solidaire des autres féministes. Merci

              • Je suis sincèrement désolé que le coup de l’accoudoir soit mal passé. C’est bien évidemment un malendu. 😀

                Je suis globalement d’accord avec l’ensemble de votre commentaire. Content de voir une féministe comme vous.

              • Comme promis, je réponds :

                Je crois qu’il serait bon de préciser ce que vous critiquez afin d’y voir plus clair, et je voudrait vous proposer ces deux options non pas pour vous contraindre, (mais pour vous montrer qu’il n’y a pas de rapport entre le patriarcat et les jeux videos.)

                1/ Soit c’est le patriarcat, qui structure nos modes de vie et assigne des rôles sociaux sexués qui tendent à amoindrir les ambitions féminines à à rabrouer les envies de réussites des femmes et à favoriser les violences faites contre le femmes au titre de leur « irresponsabilité ». (donc hommes et femmes seraient concernés par la detection de ces « structures »)
                Et dans ce cas il faut regarder en face le fait que les jeux vidéo cohabitent avec la période historiquement le plus vindicative contre le patriarcat et où l’égalité existe au moins dans le droit.

                2 / Soit vous désignez l’industrie du jeux vidéo, la pornographie et les hommes d’être coupable de tous nos maux de femmes. Et dans ce cas vous vous retrouvez à nous informer qu’une étude montre que les jeux vidéos rendent agressifs les gens colériques. Vous oubliez toute profondeur historique au phénomène de la violence en général et de la tolérance envers les violences faites aux femmes.

                Je pense qu’en effet, il y a un système, le patricarcat, qui maintient les femmes dans un système inférieur. Cela dit, ce système n’est pas une entité abstraite : il est maintenu par des acteurs, en l’occurrence par la majorité des individus des deux sexes, mais plus particulièrement par des hommes (car c’est à eux que ce système bénéficie : logique). Les gens qui travaillent dans les médias (quand je dis médias, c’est : télévisions, journaux, films, jeux-vidéos mais aussi littérature : tout ce qui peut influencer notre pensée) sont aussi sexistes que le reste de la société (plus ou moins selon les domaines). Ca va se refléter dans les médias qu’ils créent, et se transmettre. C’est aussi comme ça que le système se maintient.

                mais d’étudier la population des violeurs, pour savoir combien sont passé à l’acte après plusieurs mois enfermé dans une cave à regarder des porno et à lire joystick tout en s’exitant sur une manette de jeu.

                1. Je ne pense pas que les jeux-vidéos incitent particulièrement au viol… Déjà, je rappelle que dans l’article je ne parle que des jeux vidéos VIOLENTS. Ensuite, il s’agit plus souvent de violence physique que sexuelle.
                2.Il n’existe évidemment pas d’études où on enferme des gens dans des caves et ou on regarde si après ils violent –‘. Par contre quelques pistes ci-dessous :
                – Etude déjà cité dans mon post (Brown JD, L’Engle KL. X-Rated Sexual Attitudes and Behaviors Associated With U.S. Early Adolescents’ Exposure to Sexually Explicit Media). Les garçons qui ont regardé le plus de pornographie, ont plus souvent harcelé.

                – Une étude exploratoire (donc à prendre avec des pincettes) montre (http://www.sciencedirect.com/science/article/pii/S0047235211001103 ) que les violeurs qui ont été exposés à de la pornographie pendant leur adolescence ont commis des viols plus violents et plus humiliants, que les autres violeurs.

                – Cette étude : http://onlinelibrary.wiley.com/doi/10.1111/j.1525-1446.1994.tb00422.x/abstract qui montrerait qu’il y a une corrélation entre utilisation de pornographie et acte de violences sexuelles, à partir de témoignages de femmes ayant porté plainte (je n’ai malheureusement accès qu’au résumé… :/)

                – Là http://www.ingentaconnect.com/content/springer/vav/2000/00000015/00000003/art00001 il y a une autre étude portant sur des victimes de viol. Si j’ai bien compris, 28% des violeurs ont utilisé de la pornographie, et 12% ont imité les actes de pornographie. Malheureusement, encore une fois je n’ai pas accès à l’article en entier.

                Bon, c’est tout, je crois.

                A noter : OK, adhérer aux mythes sur le viol ne fera pas de vous automatiquement un violeur (même si c’est un facteur de risque). Mais ce qui est sûr, c’est que quelqu’un qui adhère fortement à ces mythes aura tendance à blâmer une victime de viol. Donc, c’est pas terrible pour la victime.

                Encore une fois, il me semble que je dois nuancer : je ne pense pas que la pornographie soit LE facteur explicatif. Il y en a un tas d’autres, que j’ai évoqué dans d’autres articles.

                Enfin, même imaginons que je me trompe pour le viol (c’est toujours possible, après tout)… Je crois quand même que la pornographie (99,99% du temps ultra machiste) ne peut pas faire du bien aux droits des femmes. Sans compter les problèmes de production (d’après plusieurs témoignages que j’ai lus, c’est juste épouvantable d’être actrice X, bien que ça doit dépendre des studios). Donc voilà.

                J’espère grandement ne pas avoir heurté votre susceptibilité en vous contredisant
                Le problème n’est pas de me contredire (je suis absolument ouverte au débat : je suis d’ailleurs ravie que mes articles puissent servir à la discussion et à la confrontation 🙂 ), mais j’ai trouvé votre ton agressif dans vos précédents commentaires.

            • En effet, il n’est pas simple d’argumenter, j’ai peur que votre niveau de compréhension du monde ne soit extrêmement faible (voir inexistant).

              Je vais me concentrer sur un point, pour éviter que votre capacité de réflexion ne s’éparpille. »Prenons l’exemple de l’informatique : il y a peu de femmes qui _choisissent_ de faire leurs études dans ce domaine. Il y a donc _logiquement_ plus d’hommes que de femmes ingénieurs en informatique. »

              Revenons sur le « logiquement » : ne serait-il pas envisageable, que s’il y a un manque de femme dans les filières scientifiques soit dû à l’éducation patriarcale dans lequel elles grandissent ? Rabâcher à un enfant que sa place est d’être une « bonne ménagère », « une princesse », que les mathématiques sont pour et faites par des hommes, que les classes préparatoires scientifiques sont majoritairement conseillées aux garçons (même à résultats inférieurs).
              Pour l’informatique en particulier, il y a un exemple très frappant : Ada Lovelace, pionnière de la programmation, mais pratiquement jamais citée dans l’histoire de l’informatique.
              Ne voyez-vous pas qu’il manque totalement une possibilité pour une jeune fille de s’identifier, un manque d’icone, lui permettant de s’approprier cette branche ?

              Donc votre « logiquement » qui donne un côté réfléchi à votre « argumentaire » n’a en aucun cas lieu d’être.

              Et pour conclure d’une manière simple et mathématique : vous = stupide.

            • Bon allez, comme je me sens en forme, on y va pour un deuxième point. On attache sa ceinture et on met les mains à l’intérieur du manège.

              “Sachez enfin que je suis quelqu’un de très “ouvert”, je suis pour le partage des tâches ménagères”

              Aaaah, cette phrase, cette convention, quel révélateur de machisme, j’adore.
              « Le partage des tâches ménagères » ou l’élaboration d’un double privilège. En effet, premier privilège, le statut de départ : la femme effectue les tâches ménagères, c’est la normalité ; deuxième privilège, l’homme partage de son temps pour aider la femme et peut donc se créditer d’ouverture d’esprit (d’altruisme sans limite, de bienveillance, de modernité ou tout autre terme valorisant).
              Félicitations, vous vous préoccupez de votre foyer, vous devez être une sorte de dieu.

              Sinon, je me permets de revenir sur une petite phrase :
              « Ce commentaire a été lu et approuvé par une femme »
              Comme j’aime les mathématiques, je vais me targuer d’une comparaison à un théorème très basique : moins plus moins est égal à moins.

              • Avant toute chose : merci. Je me délecte de chacun de vos commentaires. 😀

                Bon, passons sur les insultes, qui représentent la totalité du premier message et un bon tier du second, je ne souhaite néanmoins pas entrer dans votre jeu infantile.

                Concernant le vrai premier argument : je pense effectivement que si nous éduquons des petites filles en ne leur montrant que des princesses et en leur racontant que des contes de fées, tout comme des garçons à leur montrer que des films de guerre et des figurines de héros virils et d’humeur sanglante, il se peut dans une certaine mesure que ça les influence dans leurs choix futurs. Ce que je déplore assez, le peu souvent où je regarde la télé.
                Cependant dans ma famille, personne ne m’a forcé moi (a contrario) à me lancer dans des études scientifiques. Personne dans ma famille pousse les filles à faire un métier « pour filles ». Si c’était le cas je comprendrais, dans ce cas, que cela donne lieu à des échanges d’arguments au sein de la famille.
                La place de « bonne ménagère » pour une femme est un principe caricatural, cliché et que je trouve moi-même abjecte. En aucun cas je n’ai dit le contraire, pourquoi tant d’acharnement ? Concernant Ada Lovelace, ses notes pouvaient s’apparenter à une première forme de programmation, c’est tout à fait vrai. Et d’ailleurs, elle n’est pas du tout ignorée puisqu’un langage de programmation porte son nom, et que plusieurs clins d’oeil lui ont été faits dans des œuvres (si vous souhaitez plus d’information : http://fr.wikipedia.org/wiki/Ada_Lovelace). Vous voulez en parler ? Ne vous privez pas. En lieu et place de critiquer, proposez, montrez, faites. Principe largement utilisé dans le logiciel libre.
                Pour rappel, récemment est mort un des hommes les plus importants dans l’histoire de la programmation C (et donc de nos systèmes d’exploitations) et il a été totalement ignoré. Oui oui, un homme.
                http://fr.wikipedia.org/wiki/Dennis_Ritchie

                « Les classes préparatoires scientifiques majoritairement conseillées aux garçons » => vous avez des chiffres sur ce que vous avancez ? Ou c’est juste une intuition ?

                « Un manque d’icone » => parce qu’il est *nécessaire* pour vous qu’il y ait une icône féminine ? Une obligation ancestrale qui oblige à ce qu’il y ait une icône dans un corps de métier qui vous ressemble éthniquement, sexuellement pour pouvoir se lancer dans la branche ?
                Et concernant votre icône, il y aura un problème de poule et d’œufs… Et s’il vous faut nécessairement une icône, prenez n’importe-quelle femme actuellement informaticienne et édifiez-la comme une déesse de la programmation. Rien ne vous en empêche et il n’en manque pas.

                Concernant votre dernier message : si je dis que je partage les tâches ménagères, comme dit plus haut dans un autre commentaire, c’est pour montrer que je ne pense pas que ce soit nécessairement aux femmes de faire ça, avec un trait d’humour. Humour qui semble vous laisser insensible, j’en suis désolé.

                • La société patriarcale dans laquelle ont grandis ces femmes pensent lourd sur leurs choix. Même si ta famille ne te force pas à choisir telle ou telle branche car plus convenable pour un homme/une femme, ce raisonnement est souvent déjà tien quand tu grandis avec les même valeurs patriarcale et cela peut te sembler normal.

                  En 1987, 42% des développeurs étaient des femmes, aujourd’hui on est en dessous des 20%.
                  L’image de l’informatique a changé avec la démocratisation de quelques hacker qui développaient la nuit dans le garage de leurs parents. Elle s’est trop éloignée de l’image d’un métier jugé acceptable pour une femme.

                  Même si on a légalement le choix la pression sociale pèse lourd. La vision patriarcale de la société passe aussi par les média quels qu’ils soient ( films, livres, jeux vidéo, magazine de jeux vidéo, …) c’est pour ça qu’il faut rester vigilant et lutter contre ces idées quand les médias les diffusent.

                  Et pour répondre à une remarque faites plus haut: oui il y a eu de progrès pour l’émancipation des femmes, mais il reste encore beaucoup de chemin a faire.
                  Oui il y a des pays où ca va plus mal qu’en France, mais il y en a aussi où ca va mieux qu’en France. On est loin du top et on aucune raison de ne pas y être.

                  • « Elle s’est trop éloignée de l’image d’un métier jugé acceptable pour une femme. »
                    Je ne vois vraiment pas ce qui vous fait dire ça. La plupart de mes professeurs sont des femmes qui plus est.

                    Qu’il y ait à un moment de notre histoire plus d’hommes que de femmes (ou inversement) qui sont dans un corps de métier précis ne veut pas dire qu’on interdit socialement une femme (ou un homme) d’y accéder. Ceci est un préjugé ridicule qui consiste à dire que, comme il y a plus d’hommes (ou de femmes) à un poste alors il y a de la discrimination. Pourquoi ne pas simplement se dire que ce métier intéresse moins les femmes ? La société change, et vous trouverez toujours des tonnes de statistiques dans tous les sens qui ne _démontreront rien_. Vous voyez ce que vous souhaitez y voir.

                    Vous faites des suppositions sans aucun vrai fondement à part des chiffres qui ne font que prouver que la société est en mouvement. Ce qui est normal à notre époque où on connait une énorme évolution : Internet. Cet outil qui nous sert à obtenir des informations, s’exprimer beaucoup plus facilement à l’ensemble de la population mondiale, à s’abstraire de la géographie et passer toutes les barrières sociales, et le tout de manière (presque) instantanée.

                    Quand vous dites qu’il faut rester vigilant et lutter contre ces idées quand les médias les diffusent… je ne sais pas si nous sommes d’accord sur ce point. Comment souhaitez-vous « lutter » ? Pour moi, il faut tout simplement qu’il y ait des films qui encouragent l’égalité, certaines idées comme les CV anonymes peuvent être intéressantes et mises en avant. En aucun cas il ne faudrait *empêcher* ou *censurer* des articles, des films, des jeux, des séries, des livres, des commentaires qui ne vous plaisent pas.

                    • Je ne parlais pas des professeurs mais des métiers l’informatique.
                      Je suis d’accord avec vous le déséquilibre ne s’explique pas par la discrimination à l’embauche mais par un désintérêt et c’est bien ce que je tentais d’expliquer dans mon commentaire. Comme vous le dites le changement vient de la société.
                      Rien d’autre ne peut expliquer un tel déséquilibre dans une branche de métier. On ne tape pas sur un clavier avec ses testicules, la différence de sexe ne devrait pas jouer dans l’approche de ce métier.

                      C’est pour ca que je dit que l’image que la société renvoie des métiers de l’informatique s’est trop éloignée de l’image d’un métier qu’elle juge acceptable pour une femme.

                      J’ai pris l’exemple de l’informatique parce qu’il était utilisé plus haut, mais c’est loin d’être le seul cas. Mais ça reste un bon exemple des influences de la société patriarcale sur nos choix.

                      Pour le 2eme point comme je l’ai dit dans un autre commentaire, la censure ne résous rien. On lutte contre une idée, on la combat, en exposant des arguments pour démontrer qu’elle est nocive, en proposant notre vision et en arrivant à convaincre. (plus facile à dire qu’a faire …)
                      Je pense qu’on est d’accord sur ce point (j’aurais du préciser ma pensée avant).

                    • Quand vous parlez « d’image que la société renvoie », je trouve ce terme un peu trop générique et fourre-tout. Avec ça on pourrait dire tout et n’importe-quoi et étailler des thèses complètes sur… du vent !

                      Mais j’apprécie de voir que vous êtes contre la censure. Merci, sincèrement. 🙂

  15. Pingback: social, economie et politique | Pearltrees

  16. En ajout à l’un des commentaires: J’ai lu « TV Lobotomie » de Desmurget, il est intéressant mais à prendre avec des pincettes. Je ne pense pas que tout est noir ou blanc, il faut juste savoir trouver un équilibre. (hs off)
    J’ai vu le trailer de Tomb Raider et je n’ai pas vu de scène de viol, tout du moins une tentative qui ne m’a pas parue si violente (et pourtant j’ai horreur des scènes de viol dans les films, je suis obligée de sortir de la pièce à chaque fois). Peut-être est-elle plus explicite dans le jeu, auquel cas je m’insurge de la même manière que vous. Par contre, l’article de Joystick est tout simplement immonde et je ne comprends pas que l’équipe éditoriale ait pu accepter un tel texte.

  17. c’est amusant comme ça sort d’un coup, on jurerai que c’est fait exprès mais voila encore un monsieur qui, au vu de son pédigré un peu plus fourni que « journaliste scientifique » (Petit clin d’œil a Peggy Sastres), n’est pas une tanche en la matière porte des propos sans équivoque sur le sujet… encore une fois.

    Entretien avec Laurent Bègue – Voulez-vous tuer avec lui ce soir ? : http://merlanfrit.net/Entretien-avec-Laurent-Begue

    Maintenant, nous parlons de sciences, nous parlons de relation de cause à effet, de fonctionnement physiologique… d’informations et de savoir sur un phénomène. Cela ne justifie en aucun cas une police de la pensée ou un quelconque « Minority Report », il est possible de réfléchir, penser et discuter sans verser dans l’extrémisme quel qu’il soit.

    Bonne lecture.
    N.

    • Je viens de lire, c’est très intéressant ! Merci.

      Je suis d’accord avec vos propos sur « la police de la pensée » : je crois qu’on peut réfléchir, analyser sans forcément censurer ou être de la police de la pensée.

  18. Très bon article et j’ai trouvé intéressant les commentaires sur le Japon. Effectivement au Japon les cas de viols sont sous reportés. La police ayant pendant longtemps fait preuve d’assez peu de sensibilité lorsque les femmes venaient se plaindre cela n’aidait pas trop. Quand vous allez à Akihabara vous voyez que les clichés sur le viol restent très vivaces au Japon dans les manga papiers… il suffit parfois aussi de tourner la tête dans le métro et de voir ce que lisent les gens (sans aucune provocation souvent mais je suis parfois assez surprise de ce que je peux voir en jetant un oeil sur le magazine de mon voisin).
    Je ne pense pas qu’au Japon ou ailleurs les jeux ou images représentant des viols soient cathartiques, au Japon le peu de violence (meurtres etc…) vient surtout de la structure de la société et du fait que la violence est très souvent exercée sur soi, le poids du regard de la société joue également.
    Dans les cafés internet on a également accès à des chaines assez peu ragoutantes montrant des viols dans lesquels la femme semble se complaire ce qui est très dérangeant (et je parle d’un café internet dans lequel j’étais dans une section spéciale réservée aux femmes avec toilettes et même distributeur de café séparés).
    C’est triste de voir qu’en 2012 on doit encore réagir pour ce genre de chose et qu’un magazine peut encore se permettre un tel article. C’est bizzarre: est ce que moi j’ai envie de jouer à un jeu montrant une femme émasculant un homme de différentes façon afin de me « défouler »?????
    …. la réponse est non!

      • Akihabara ne représente pas le Japon, c’est un quartier spécial (il est d’ailleurs connu pour ca)

        On ne peut pas apposer son regard de français(e) et ses raisonnements sur le Japon pour en tirer des conclusions. C’est plus complexe que ca, c’est un pays vraiment différent.

        Le jeu dominé / dominant est plus accepté au Japon. On peut demander à un(e) japonais(e) si il(elle) est S ou M sans que ca passe pour quelque chose de « sale » comme en France. Les 2 tendances sont acceptées et ne dépendent pas du genre. Alors oui il y a des manga/anime qui représentent des femmes dominées mais l’inverse aussi est bien présent.

  19. Pingback: Catharsis, jeux vidéos, pornographie, viol… : quelques mots sur « l’affaire Lara Croft » « 茉莉音chan Marionchan

  20. En tant qu’homme, amateur de jeux vidéos et ancien consommateur de porno, j’ai été particulièrement touché par toute cette controverse. Et effectivement, j’en était resté aux bons soins des magazines qui rassuraient en disant « le jeu vidéo c’est rien, c’est catharsis, du coup on peut jouer les bourrins sans complexe ». Votre explication montre à quel point c’est du flan. Et comment tout dans notre environnement social tend à minimiser ces pratiques qui augmentent la propension à accepter les ASV, même si l’on se donne des fausses justifications. Enfin bref, encore une histoire de patriarcat, comme toujours. merci beaucoup !

  21. Bonjour,
    après avoir parcouru rapidement votre article, j’aurais deux ou trois commentaire.
    Tout d’abord laissé moi me présenter. Je suis doctorant en science physique, joueur de jeu vidéo – à hautes doses mais d’un jeu principalement -, amateur de la série tomb raider. Ses précisions sur ma personne font références à ce qui a été dit dans certains commentaire sur la place des femmes dans la société. Je parle donc de l’intérieur de cette société masculine.

    Mon premier commentaire est que votre article me semble tout à fait raisonnable (point de vue de joueur) voire même plutôt bon. Je dit cela surtout en comparaison à trois autres articles que j’ai lu sur le sujet. notamment un sur le site d’arretsurimages, les deux autres étant en lien sur le forum de l’article en question. Le point de vue de ces articles était, j’exagère un tout petit peu :  » les joueurs ses violeurs, qu’ils aillent en prisons. Nan mais comment oser montrer une scène de viol aussi insupportable ». Votre article au contraire se sert plus de l’article de joystick comme d’un prétexte pour parler de la pornographie sous-jacente des média. Et même si je ne suis pas d’accord avec tous vos point de vue, je les respecte en temps que tels, et je trouve donc votre article plutôt bien construit.

    Maintenant concernant l’article incriminé en premier lieu. Comme il a été dit dans les commentaires, il s’agit évidemment d’un trait d’humour, et je crois même (souvenir de quand je l’avais lu) que l’auteur est relativement assez clair. Mais pas en premier lieu, c’est vrai. C’est ce qui donne le coté ambigu à cet humour. De toute façon, l’humour est pas franchement drole. Et je suis vraiment bon public. Je ris moi aussi de tout, et pire, avec tout le monde. Mais là c’était pas drôle. Après je pense qu’il faut avoir un contexte. Par exemple, est-ce que l’auteur prend tout le temps son point de vue de « beauf » comme il le dit dans ses justifications. Si c’est le cas, alors les lecteurs avertis (et seuls ceux qui le sont lisent encore ce journal devenu très confidentiel) auront compris l’humour.
    Je crois surtout que l’article aurait mérité un contre article, une vision plus professionnelle du jeu, venant contrebalancer la vision impulsionnelle du beauf incarnée par l’auteur.

    Ensuite sur le jeu lui même. J’ai joué à tomb raideur petit, puis ado. Il y a des chances que j’achète le dernier opus. J’ai vu la scène incriminée dans le trailer, y a pas de quoi fouetter un chat. On montre bien un homme en position de domination (Lara étant menottée) avoir un contact physique avec l’héroïne. Est-ce que ce contact est sexuel ? En tout cas il est hautement ambigu. Je n’en ai quasiment aucun doute. Mais là où ça ne me choque finalement pas, c’est que c’est l’héroïne qu’on incarne, donc nous-même en somme qui nous retrouvons en position d’infériorité. En aucun cas le joueur est dominant et ne pratique l’attouchement pour une progression du jeu. Je n’y vois donc aucune apologie du viol.
    En ce qui concernent les fameux « cris » interprété comme érotiques, il s’agit en général de cris de douleur lorsque Lara est en danger de mort. Vive l’érotisme. Nous ne devons pas connaitre les même hommes je pense si parmi vos connaissances certains trouvent ça érotique.

    Concernant le débat lancé sur la société, je rejoindrais en majorité le point de vue de Philippe. Même si certaines de ces expressions peuvent être jugées maladroites. En même temps, dure ne pas être maladroit en face de féministes. Je m’explique : sois on considère que les femmes sont suffisamment grandes pour se débrouiller, et on nous dis qu’on laisse faire et qu’on ne fait rien contre cette société, soit on veut défendre les femmes (surement maladroitement ) et on nous dit qu’il faut arrêter de les prendre de haut et qu’une femme est autant capable qu’un homme.
    J’en suis même à me demander si je dois payer le resto à ma copine, ou si je peux lui tirer ça chaise… Je suis personnellement du type que j’ai moi-même appelé « macho gentil ». Macho oui, dans la tradition d’élever la femmes au statut de personne à chérir et à couver (et le pire c’est que je l’assume). Mais en aucun cas à battre ou quoi que ce soit. J’utilise donc aussi les expressions du style « partage des taches ménagères ». D’abord parce que ça ne me dérange pas de les faire, et aussi parce que mes copines ne savaient pas forcement cuisiner (je ne prend que cet exemple). Je n’y voyais personnellement aucun problème, au contraire c’est un plaisir de partager les taches.

    Et pour une fois qu’on ne tape pas sur les joueurs de manière systématique et brutale (les joueurs sont victimes aussi de discrimination de la part de la société, sauf qu’eux n’ont pas de joueurisme ou joueuristes pour les défendre), j’aimerais partager une vidéo. En fait deux, mais bon c’est presque pareil.
    http://sc2casts.com/cast9375-Scarlett-vs-Ostojiy-Best-of-3-WCS-Canada-Nationals-Finals
    Il s’agit de la finale canadienne d’une compétition mondiale de Starcraft 2, jeu de stratégie en temps réel. Dans le lien, il y a deux partie commentées, jouées par deux joueurs professionnel, dont l’un d’entre eux, Scarlett, est une femme. Je crois que les commentaires, et la réaction du public parle d’elle même quand à la vision des femmes dans le monde du jeu video (forcement masculin, hein ? ) et encore plus d’une femme qui gagne (chose qui d’après les critères féministes, ou même de la société en générale, devrait faire rager tous les joueurs masculin de la planète). Ecoutez les « Scarlett ! Scarlett !  » Perso j’en ai eu la chair de poule.

    • « Je m’explique : sois on considère que les femmes sont suffisamment grandes pour se débrouiller, et on nous dis qu’on laisse faire et qu’on ne fait rien contre cette société, soit on veut défendre les femmes (surement maladroitement ) et on nous dit qu’il faut arrêter de les prendre de haut et qu’une femme est autant capable qu’un homme. »
      Les femmes sont aussi capables que les hommes dans un contexte égalitaire. Mais nous ne sommes pas dans un contexte égalitaire. En tant qu’homme blanc (si tu l’es), tu es discriminé positivement, ton profil sera préféré à celui d’une femme, d’un noir même plus compétent.

      Je ne veux pas que tu me défendes face à un chef qui me fera des remarques déplacés ou même qui ne fera que des remarques sur tous les sujets sauf professionnel (il me fera un compliment sur mon physique pensant que cela me fait plaisir alors qu’à toi il va te demander quelles études tu as fait).
      Ce que je veux, c’est de ne pas me retrouver dans cette situation
      Je ne sais pas si tu t’es déjà retrouvé dans la situation où tu es mal à l’aise par exemple devant des personnes qui ont un « statut » différent de toi (par le hobby, l’éducation, la différence des études), tu ne possèdes pas leurs codes, ils te font sentir que tu n’es pas comme eux. Tu es mal à l’aise, peut-être maladroit, il faut que tu fasses des efforts pour communiquer alors qu’à eux tout est naturel. Pourtant ils ne t’ont fait aucune remarque négative, il n’y a rien de concret mais c’est là, tu te sens illégitime.
      Pour les femmes, nous subissons cela constamment dans tous les contextes où la société nous perçoit comme illégitime. Quand toi tu pourras te concentrer uniquement sur ton travail, je devrais moi en plus me concentrer sur ce que je dis, comment je m’habille, les blagues, la pression, le fait que le seul fait de parler exactement du même ton que toi, je passerais pour une agressive alors que toi on estime que tu parles normalement. Je devrais toujours être plus, la meilleure quand toi il te suffira d’être moyen.

      Je sais que tu ne peux pas penser constamment à t’excuser à avoir appris à être dominant, à penser constamment à l’implication de phrases anodines, mais prend en conscience fait le de temps en temps et ne nie pas l’inégalité. (des musiciennes doivent mettre des chaussures d’hommes alors même qu’elles feront leurs prestations derrière un rideau parce que même le bruit des chaussures impactent la décision des directeurs de castings alors qu’ils n’en sont même pas conscient).
      Prend en conscience.

      « J’en suis même à me demander si je dois payer le resto à ma copine, ou si je peux lui tirer ça chaise… Je suis personnellement du type que j’ai moi-même appelé “macho gentil”. Macho oui, dans la tradition d’élever la femmes au statut de personne à chérir et à couver (et le pire c’est que je l’assume)

      ce n’est pas être macho que de vouloir chérir et couver les personnes que l’ont aiment. C’est normal. Et ta conjointe voudra tout autant de chérir et te couver. Ce que l’on te demande c’est de ne pas être paternaliste avec les autres.
      Tu peux jouer le jeu de la séduction traditionnelle. Beaucoup de femmes ont encore peur de perdre cette fausse galanterie, de perdre cette sécurité parce que oui on gagne 20% en moins que vous, on est plus au chômage, parce qu’on a été biberonné aux princesses disney, parce que la société ne possède pas encore cette image collectivement..
      Personnellement je me suis laissé invité puis j’ai rendu la pareille tout simplement. Mon conjoint a le droit de pleurer et il ne porte plus tout le poids psychologique de pourvoir au besoin de notre famille.
      Mais tu peux fort bien établir avec ta conjointe un couple « tradi », vous faites ce que vous voulez mais si un jour tu es drh ou chef, quand tu verras une femme en face de toi, ne penses pas « mais comment fera t-elle pour tout gérer » parce qu’elle ne sera pas forcément dans le même genre de couples de toi.

      • « Je ne veux pas que tu me défendes face à un chef qui me fera des remarques déplacés ou même qui ne fera que des remarques sur tous les sujets sauf professionnel »

        Là est à mon sens tout le problèmes des féministes modernes. Je veux bien croire que ta (puisque qu’on se tutoie) phrase fasse tout à fait sens dans les années 80 90 et peut être même 2000.
        Je ne veux pas défendre les femmes. En tout cas pas en tant que moi, individu. Je veux le faire en tant que citoyen, pour qu’elles soient traitées équitablement. D’ailleurs les femmes autour de moi se défendent très bien toutes seules dans cette société, et n’ont pas besoin de moi en tant que personne. J’estime juste qu’en tant que citoyen, ça fait partie de mon devoir.
        Ce que je décrivait, je l’ai vécu. Des féministes qui pensent que les intentions des hommes sont forcément mauvaise. Si on les aides, c’est pour les paterner. Et si on ne les aides pas on les abandonne à leur sort, en nous complaisant de leur infériorité dans la société.

        « Quand toi tu pourras te concentrer uniquement sur ton travail, je devrais moi en plus me concentrer sur ce que je dis, comment je m’habille, les blagues, la pression, le fait que le seul fait de parler exactement du même ton que toi, je passerais pour une agressive alors que toi on estime que tu parles normalement. Je devrais toujours être plus, la meilleure quand toi il te suffira d’être moyen. »

        Je fais de la recherche en physique, un milieu à forte dominance masculine. Pour des raisons avant tout sociales : il y a moins de femmes qui font des études de physique. A l’embauche, les chiffres montrent que les femmes rattrapent proportionnellement leur retard. elles sont donc proportionnellement plus embauchées que les hommes. Bref ce n’était pas mon point. Ce que je voulais surtout dire, c’est que je fais un métier de communication. Tous mes mots, blagues, coups de gueule, sont interprétés comme tu le décris. Je ne peux pas me permettre des écarts. Les femmes autour de moi sont traitées de la même façon, et je le pense sincèrement. Ce sont d’ailleurs souvent elles qui parlent plus fort, et qui font le plus de blagues. Personne ne s’en plaint.
        Peut être que je vis dans une micro-société d’élites bien pensante, bla bla bla, en tout cas je ne vis pas ce que tu décris. Attention, je sais bien que ça existe. Je dis simplement qu’il ne faut pas considérer que tout le monde fait subir ça au femmes.

        « Je sais que tu ne peux pas penser constamment à t’excuser à avoir appris à être dominant, à penser constamment à l’implication de phrases anodines, mais prend en conscience fait le de temps en temps et ne nie pas l’inégalité.  »

        Merci pour ce moment d’humour. Tu ne me connais pas. J’ai vécu avec des femmes. J’ai deux soeurs. Je suis totalement conscient que la société m’a appris à être dominant, on me l’a suffisamment répété. Est-ce que j’en ai profité quand j’étais petit. Oui. Mes soeurs participaient plus aux taches ménagère, pendant que j’étais dans le jardin à aider mon père aux taches « d’hommes ». Enfin, quand ce n’était pas le contraire, rarement mais ça arrivait aussi. Mes parents m’ont élevé dans le profond respect de l’autre, et donc dans mon cas, des femmes.
        Je ne nie absolument pas l’inégalité subie par les femmes. Le problème est bien souvent la vision qu’ont les féministes des hommes. Nous ne sommes pas que des ignorants, bêtes, brutaux, qui ne pensons qu’à réduire les femmes à des objets sexuels. Me mettre automatiquement dans cette catégorie montre la faible ouverture d’esprit sur les capacités des hommes. Serait-ce du sexisme ?
        J’ai rencontré une ou deux féministes « ultra ». Du genre à vouloir asservir les hommes pour leur faire subir les siècles de soumission des femmes. Ridicule avouez le. (Surtout qu’a mon avis, celles là ne l’avait pas vécu du tout.) Le problème à mon sens avec les féministes, c’est ce coté ultra qu’elles trainent avec elles. Vouloir être l’égal des hommes, mais sans les hommes. Le problème de notre société, c’est qu’on est des hommes ET des femmes. Beaucoup d’hommes sont prêt à ce que notre société évolue. Si vous les chassez automatiquement de cette société, alors vous ne pourrez arriver à rien, ils s’opposeront forcément au changement. Ils abuseront de leur position dominante.
        Il y a peu de choses que je haïs autant que le féminisme. L’antisexisme, par contre, pour reprendre le titre de ce blog, me plait énormément.

        « ce n’est pas être macho que de vouloir chérir et couver les personnes que l’ont aiment »
        Toutes les femmes ne pensent pas comme ça malheureusement. Encore une fois, je parle d’expérience. Vouloir être gentil avec une femme est souvent perçu comme de la pitié, ou une preuve de supériorité. Dans mon cas, ce n’est que de la gentillesse. Enfin je crois. Mais insinuer que mes gestes pourraient ne pas l’être me blesse et c’est bien ce que certaines féministes font.
        « Beaucoup de femmes ont encore peur de perdre cette fausse galanterie ». Merci pour cette baffe. Je ne savais pas que j’étais profondément faux. Mais je vais devoir réfléchir sur moi-même, faire peut être une thérapie, afin de comprendre tout ce qui est faux en moi. Après ça j’arrêterais peut être enfin d’être gentil. Merci beaucoup pour m’avoir ouvert les yeux. D’ailleurs pour prouver que je vais dans la bonne direction, la prochaine fois que je vais au resto, non seulement je ne serais pas faussement galant, mais en plus je laisserais ma compagne payer l’addition. Parce que l’égalité passe aussi par là. Nan, mieux, je lui demanderais de rétablir cette égalité en payant, pour une fois, il n’y a pas de raison qu’elle se sente inférieure parce que c’est toujours moi qui paye.
        Nan, mais c’est pas sérieux. Honnêtement. Si je paye le resto, c’est pas pour être faussement galant, c’est parce que ça me fait plaisir. J’ai presque envie de dire que c’est égoïste de ma part. D’ailleurs je n’invite pas que ma copine, aussi mes amis, si je le peux. Les fins de mois étant ce qu’elles sont. Egoïstement j’ai horreur de voir les autres faire des efforts pour moi. Donc je les fais pour eux. C’est probablement très maladroit de ma part, après tout ils ne m’ont rien demandé, mais c’est comme ça, je suis gentil.
        Et si ma copine ne se sent pas bien avec ce comportement (ou mon comportement en général), elle sait que je suis ouvert à la discution et aux critiques. Si vraiment ça la dérange, je peux aussi m’adapter. Je suis gentil après tout.

        Bref à l’avenir, merci de ne pas considérer les hommes comme forcément arriérés. Certains d’entre nous (en fait tous ceux que je connais je crois) ne veulent pas de cette société inégalitaire, au sens large. D’ailleurs ton conjoint n’a pas l’air spécialement arriéré, si ? Alors pourquoi ne pas accorder le bénéfice du doute à un inconnu ? La société t’aurait-elle trop bien modelée, au point que ta vision des hommes en soit biaisée ? A titre personnel ça fait longtemps que j’ai abandonné les préjugées sur les femmes. Certaines que je connais sont plus intelligentes, meilleures en sport, plus drôle (si si une femme avec un sens de l’humour ça existe. Bon ok messieurs qui me lisez, c’est rare mais cherchez bien il y en a).

        Juste une dernière remarque :
        « Mon conjoint a le droit de pleurer et il ne porte plus tout le poids psychologique de pourvoir au besoin de notre famille. »
        Ca me fait penser à la remarque qu’il y a eu dans les commentaires de ce forum sur « le partage des taches ménagère » comme étant une expression sexiste.
        Bien sur que les hommes ont le droit de pleurer. Bien sur que les femmes peuvent aussi contribuer à pourvoir les besoins de la famille. Le dire est, dans notre société aujourd’hui, à mon sens inutile, et probablement sexiste (je dis ça uniquement dans un but provocateur, et pour faire référence à ce qui avait été dit sur le partage des taches). « vas y mon amour tu à le droit de pleurer, je suis tolérante. Je ne t’en voudrais pas, montre moi ton coté féminin ». Je pleure si j’ai envie, c’est pas une question de coté féminin ou quoique ce soit. Pas besoin d’avoir une féministe à la maison pour pleurer. Une femme normale cause suffisamment de soucis pour qu’on ait envie de pleurer 😉

        • Tu as mal interprété mon commentaire qui n’était pas tout agressif envers toi.

          Quand je dis « fausse » galanterie, je ne dis pas que toi tu es faux, je dis que le principe même de la galanterie dessert les femmes. Demander un comportement galant aux hommes, c’est de fait entériner une situation inégalitaire, faire une différenciation. Avec mon conjoint, nous avons eu des jeux de séduction galant où il me tenait la porte. Puis je l’ai fait aussi. Mais je ne veux pas que dans mon travail, un homme pense « tiens une femme je dois lui tenir al porte ». je ne vois pas pourquoi je devrais avoir cet égard.

          Et je ne sais pas si tu lis beaucoup de blogs féministes mais lis juste celui-là et tu liras qu’il n’est pas question de couper les couilles aux méchants hommes mais de dénoncer le genre culturel qui pour la majorité des féministes contraint autant les femmes et les hommes (bien que vous ayez au final pour certains d’entre vous tout de même 20% de plus en salaire).

          Mais malheureusement malgré tes dires, tu es en plein dans le déni vu que tu différencie la femme normale de la féministe, et que pour toi une féministe est une folle furieuse aigrie qui veut tuer tous les hommes (comme un nombre incroyable de personne sans qu’ils aient d’exemples et de nom à donner). En orientation politique, tu peux être de gauche ou de droite mais ça ne veut pas dire que tu es d’accord sur tout ni sur la façon de faire de ton voisin qui est de même orientation politique que toi. Donc dans le courant féministe, il y a des extrémistes qui sont par exemple né avant 1976 et où elles n’avaient pas le droit d’ouvrir un compte bancaire sans leurs maris. mais au final jamais des féministes n’ont crié, cassé, agressé autant qu’une simple manifestation lambda. et pourtant la majorité des hommes et des femmes pensent qu’elles sont trop agressives et illégitimes. Mais Jean-Marie le Pen malgré son nombre de dérapages dont des dires illégaux est toujours autant interviewé et écouté.

          • Justement l’histoire de la porte est très révélatrice.
            Si je tiens la porte à la personne qui me suit, je n’en ai rien à faire que ce soit un homme, une femme, un vieux, un jeune, un noir, un blanc. Je tiens la porte, point.
            Si je te tiens la porte et que tu le prend mal parce que tu es une femme et que tu pense que je fais ça par « galanterie », alors tu te mets le doigts dans l’oeil, avec la main et le bras. Là ce n’est pas de ma faute si quand un homme à un geste de respect envers toi, tu le prend de travers.
            Je tiens la porte à tout le monde, et j’attends comme seul remerciement un sourire, surtout en région parisienne ou attendre plus serait illusoire. Après, que ce soit un homme ou une femme… Mais la prochaine fois je le saurais, et quand une femme se présentera derrière moi, je lui claquerais la porte au nez, au moins elle me prendra pour un con, et elle aura raison.
            Pas évident de vivre en société. C’est exactement ce que je dis, tout est mal interprété.

            Je ne parle que de ce que je connais, si je différencie la femme normale de la furie féministe, c’est qu’aucune féministe que j’ai rencontrée n’était raisonnable, malheureusement. Et elles n’étaient pas nées avant 76, mais avaient mon age. J’ai 25 ans. Donc si, j’ai bien des exemples et des noms (en fait non, je ne me souviens plus des noms :s ) à donner. Désolé.
            Après il est évident que je fais légèrement dans la provocation, c’est ici mon fond de commerce. Et si je différencie le féminisme de l’antisexisme, c’est avant tout pour une question de vocabulaire. Mais je dois dire que les féministes médiatisées me font plus penser à des extrémistes qu’a des gens raisonnables. Est-ce que c’est parce que leur discours est déformé par les média, peut être. En tout cas je reste encore à convaincre par les groupes féministes qui sont au premier plan médiatique. Alors que la cause féministe qui consiste à rompre avec les inégalité ancrées dans notre société, j’y adhère plus que volontiers. J’attends qu’on me présente les bonnes personnes pour changer d’avis.

            Le féminisme ce n’est peut être pas couper les couilles aux méchants hommes, mais les discours sont à mon sens trop généraux pour ne pas être insultants, en tout cas pour moi. Je ne me reconnais pas dans « les hommes » tels qu’ils sont décrits par les féministes. Et j’apprécierais à titre personnel un peu de nuance. Mais ce n’est probablement pas assez télégénique. Je ne suis pas dans la politique, et j’essaye d’être au maximum dans la retenue. C’est peut être pour ça que « les féministes » m’horripilent. Mais tout n’est qu’une question de vocabulaire. Je pense qu’un combat antisexiste serait mieux perçu de la part des hommes qui ne se reconnaissent pas dans la description que vous donnez d’eux. Je me trompe peut être.

            Pourquoi je fais constamment référence au nom de ce blog ? C’est avant tout parce que sur le sujet de cet article, j’ai justement lu plusieurs blog. Et si le nom du blog avait été moins modéré, je ne l’aurait certainement pas lu, sûr d’y retrouvé les même arguments détestables encore et encore. Ici, j’ai trouvé des arguments, des propos plutôt modérés. Et même si je ne suis pas d’accord avec tout ce qui est dit, j’apprécie la démarche de l’auteur. Ce qui n’était pas le cas dans les autres blogs, où la seule motivation était de casser, ou castrer, ces méchants hommes joueurs macho qui ne font que fantasmer sur les bombes sexuelles violées, et qui ne méritent pas de vivre. De toute façon ils ne manqueraient pas à la sociétés, puisque ce sont des violeurs et assassins de femmes en puissance et que ce sont des poids économique, avec leur paquet de chips/part de pizza sur les genoux et leur obésité volontaire.

            • Si tu trouves toutes les féministes trop extrémistes, peut-être qu’il faut remettre en cause ta propre compréhension de l’agressivité. Et pourquoi tu prends pour toi les dénonciations des machos des féministes si tu n’es pas concerné? si tu es absolument certain de ne jamais avoir d’attitudes, de phrases sexistes, que ton éducation envers et contre toute la société fait que tu n’as absolument JAMAIS heurté quelqu’un. Je te félicite parce qu’en tant que féministe je suis la première à avouer que des phrases et des attitudes sexistes m’échappent et que j’essaye de travailler dessus (qui concernent autant les femmes que les hommes d’ailleurs). Et sur celles que j’ai repéré parce qu’il doit y en avoir des centaines d’autres situations où j’ai heurté une personne et où je ne m’en suis pas du tout aperçue.
              Quand on fait des campagnes contre le harcèlement moral au travail, contre la mal-bouffe, la sécurité routière, le racisme est-ce que tu le prends pour toi? Pourtant leurs portes-paroles sont souvent passionnés parce que cela les a touché particulièrement. Prends-tu ça pour de l’agressivité ou trouves-tu ça irraisonnable? Non parce que finalement y a que ces folles furieuses de féministes qui exagèrent vraiment, bon bien sûr tu n’as absolument aucune idée de ce qu’être une femme (au fond elles n’ont pas d’humour c’est ça le problème), tu es absolument certain d’avoir une attitude parfaite donc vraiment ces féministes elles ne sont pas « raisonnables », elles sont « horripilantes ».
              Mais vraiment il faut que tu me trouves ces blogs où les féministes veulent casser du mec et celles qui sont médiatisées régulièrement (parce qu’alors là je te tire mon chapeau sur ton incroyable revue de presse, j’ai beau cherché régulièrement j’en trouve quasiment jamais). Cela intéressera vraiment beaucoup d’autres féministes parce qu’on commence à croire que c’est une légende urbaine. Jusqu’ici, les personnes qui considèrent que les hommes sont des fous furieux violeurs et qui disent donc aux femmes de pas sortir seules le soir se défendent d’être des féministes.

              • Laisse moi juste clarifier mon point de vue.
                Ici, dans ce débat (en général, pas juste notre échange) ou en tout cas dans la façon dont je le perçois je suis dans une position inconfortable. Pour faire un parallèle avec un PDG d’une PME qui avait appelé france inter un jour où j’écoutais. Il disait : » arretez de taper sur « les patrons ». je suis patron de PME, je respecte mes employés, y en a marre de toujours considérer les patrons comme des « méchants patrons » « .
                Je me retrouve dans sa situation en tant qu’homme, parce que les féministes rappellent que les hommes ont eu le pouvoir, les hommes font ceci de mal, les hommes etc etc. Je ne me sens pas personnellement visé par la plupart des critiques, mais je les trouve tellement décalés par rapport à ce que je vois que je le dis.

                Je ne nie pas que la société soit construite sur des bases patriarcales, où les hommes ont été favorisés en général. Je dis juste que moi, je ne me retrouve pas non plus dans cette société où j’aimerais plus d’équité entre les personnes. J’aimerais aussi qu’on arrête de me prendre pour un con. J’ai rien demandé. Je ne veux pas être plus payer que ma voisine, et d’ailleurs ce n’est certainement pas le cas. (encore une fois) Peut être que je vis dans un milieu à part, mais la discrimination homme femme n’existe presque pas dans les relations entre les chercheurs (qui m’entourent). Y a surement quelques exceptions à la règle. Mais ce n’est pas la majorité.
                Je réagis juste sur une vision du monde qui ne correspond absolument pas à celui que je connais.

                Quand à ma perfection, je te remercie de m’accorder le bénéfice du doute. Mais évidemment, j’ai moi aussi blessé des gens sans le vouloir, dit des choses racistes, sexistes, sans le penser vraiment. Aujourd’hui je m’en veux au point de me souvenir de ces moments régulièrement pour qu’ils me servent de leçon à ne pas reproduire. Ca ne m’empêche pas de recommencer, parce qu’apres tout, je ne suis qu’un homme.

                Sur les « furies féministes », je dois avouer avoir réfléchis un peu à la question. Je pense finalement qu’elles sont un mal nécessaire. Je m’explique, et merci d’avance de ne pas prendre l’expression « mal nécessaire » trop négativement.
                Je pense que pour mener une révolution il faut des personnalités et des points de vue radicaux. C’est donc probablement le seul moyen pour que la société change.
                Mon soucis, est « l’extremisme » développé par certaines (et certains d’ailleurs). Dans les blogs que j’ai lu sur le thème de tomb raider, et donc bien souvent plus généralement sur les jeux vidéo, et surtout dans les débats que j’ai eu sur ce sujet, j’ai souvent été surpris de l’agressivité. Tout est fait pour les hommes et assouvir leur fantasmes. J’ai même entendu que les personnages sur-musclés des jeux de combats reflétaient le fantasme des hommes de la (sur-)musculature. Autant vous dire que je fais du sport, très régulièrement, mais que ce fantasme je ne le connais pas.
                Bref cet exemple est anecdotique. Mais voilà, je trouve dommage que l’exagération de ces personnes me fasse détester des gens qui défendent une cause pour laquelle, au final, j’adhère.

                Pour revenir sur le sujet de l’humour des femmes, je vais reprendre mon anecdote. J’ai répondu ironiquement au sujet des fantasmes masculins tous assouvis dans les jeux vidéo par une phrase disant à peu près que les hommes musclés étaient un fantasme féminin et que si l’auteur du commentaire ne se reconnaissait pas dedans, ce ne devait pas être une vrai femme. (je précise que le commentaire auquel je réagissait faisait bien référence aux fantasmes masculins comme étant forcément partagés par tous les hommes, sans exception). La réponse qui m’a été donné à ce pic, était « vous rigolez j’espère ?  »
                Bref, heureusement que c’était une blague… enfin bon mon humour était peut être maladroit, mais ne pas le repérer comme tel est un manque visible d’ouverture d’esprit sur ce sujet.

                J’aimerais finir en remarquant que tu me suggères de ne pas prendre les remarques contre les machos pour moi, si je n’en fais pas partie. Alors ne prend pas les remarques contre les féministes qui m’horripilent si tu n’en fais pas partie.
                Bizarrement je ne pense pas que ça va marcher. Mais c’est pour ça qu’on débat, et qu’on échange des points de vu.
                Je relance mon invitation. Si tu connais des féministes qui ne sont pas comme je les décrits, je suis près à les rencontrer dans un cadre loin des caméras qui déforment forcément les attitudes et les propos. Je suis quelqu’un d’ouvert à la discution, surtout quand je ne suis pas d’accord.
                C’est comme ça qu’on enrichi son point de vue, non ?

  22. O_____o

    Wahoo…

    Il fais un article “léger” sur son interprétation toute personnelle d’une scène d’un jeu vidéo, le genre de chose qu’il dirait à ses amis juste après avoir fait une partie…

    Mais vous réussissez quand même à le traiter d’”édifiant”. C’est toujours très agréable de se faire rabrouer ainsi. –’

    • Justement ce n’est PAS une discussion entre amis, mais un article disponible au grand public, y compris à des victimes de violence sexuelle, ou des proches de victimes, qui j’en suis sûre, apprécieraient.

      Mais vous réussissez quand même à le traiter d’”édifiant”. C’est toujours très agréable de se faire rabrouer ainsi. –’

      C’est toujours très agréable, pour une victime ou une proche de victime, de constater que le mal causé puisse être considéré comme « assez excitant » –‘

    • EN fin de compte, !!! ou ( faim??) selon les humeurs !!
      tout ceci ne serait qu’une histoire d’éducation, ou EST une grande et super innégalité DU à l’éducation !! et en majorité qui éduque ( encore et encore !!.. ) les enfants ?? MESDAMES revoyez vos pensées, et votre façon de faire avec vos petites filles!. ET laissez les etre, etre (garçon manqué ! pff )laissez lesvivres!! et les débats seront du passé.

  23. Ben c’est pas cohérent, tu as fait toi-même un article disponible au grand public, y compris à des victimes de violences féminines, ou des proches de victimes, qui j’en suis sûre, ont apprécié :

    https://antisexisme.wordpress.com/2011/08/23/tag-deux-films-et-une-serie-politiquement-incorrects/

    Dans cette article, tu fait l’éloge d’une tueuse dans une fiction en insinuant que c’est bien et qu’il faudrait qu’il y en ait plus.

    Dans un cas il faut pas prendre ça au premier degré (ton article) et tu prônes la légèreté; dans l’autre (son article) il faut rester terre à terre et tu prônes la gravité.

  24. Je pointe ceci, dans votre article :
    « Réduire les agressions sexuelles et le viol à de la sexualité, c’en est oublier tout l’aspect extrêmement violent et traumatisant. »
    On ne peut qu’approuver, bien entendu.
    Et en même temps, s’interroger :
    Quelle expérience de l’orgasme partagé peuvent avoir les hommes qui parlent ainsi ?
    Et qui d’ailleurs, sont –comme par hasard – souvent dans une position « dominante »
    Et, partant de là…
    Ne serait-ce pas, justement, l’incapacité de ressentir l’orgasme qui les pousse à cette attachement pathologique au fantasme narcissique du pouvoir ?
    Je suis personnellement convaincu qu’il s’agit là d’une piste féconde – et inexplorée – pour la compréhension des rapports de domination.

  25. L’exemple type – tellement exemplaire dans son genre que c’en est presque caricatural- c’est un certain DSK….
    Hommes frigides ayant besoin d’une structure de coercition pour arriver à assouvir leurs fantasmes impuissants.
    Et donc, hommes cherchant à se positionner dans les dites structures, pour atteindre la « top » position, celle de l’accomplissement total de tous leurs fantasmes.
    Un homme –ou une femme -ayant vécu dans sa corps la joie de l’orgasme ne s’intéressera plus à la lutte pour la « position dominante », mais cherchera plutôt le moyen de briser ces chaînes….
    Est-ce compréhensible ?

  26. Pingback: Catharsis, jeux vidéos, pornographie, viol… : quelques mots sur « l’affaire Lara Croft » | La pornographie prise aux mots | Scoop.it

  27. Bravo pour cet article qui a l’air savamment documenté. Je dois avouer manquer de courage pour éplucher les « matériels et méthodes », mais en lisant votre article une question méthodologique est venue m’obséder. C’est un biais que je rencontre souvent dans les études statistiques (et hélas souvent américaines, peut être à cause d’une dominance behaviouriste): la question du cofacteur dans les corrélations statistiques.

    Je m’explique (ou j’essaie): Si on remarque A va toujours avec B, on est tenté d’induire que A entraîne/provoque B. Ce faisant on confond induction et déduction. Or dans de nombreux cas, il existe C qui est la cause de A ET la cause de B. C’est ce C que j’appelle cofacteur.

    Pour revenir sur ce cas, par exemple, certaines études semblent montrer que les jeux violents induisent un comportement violent. Mais n’existerait-il pas simplement un autre facteur qui amènerait à la fois à avoir un comportement violent ET à être attiré par des jeux violents (situation social, origine ethnique, équilibre hormonal, trouble psychologique, etc.)

    Voilà c’était surtout ma question.

    Sinon, quelques idées qui me sont venues à la lecture (au cas où il y aie un doute, et puisqu’il semble être la coutume de situer d’où l’on s’exprime, je suis un homme).
    – Est ce que certaines femmes ne sont pas aussi victime des mythes du viol par son intériorisation? notamment en corrélation avec une forte culpabilisation (familiale) de leur corps/désir/plaisir.
    – Sur la représentation du viol. En général, au delà du réflexe infantile qu’il n’y aie pas frontière entre l’envie sexuelle et sa réalisation immédiate, que je repère facilement, je les trouve rarement intéressantes. Pourtant celle qui est mise en place dans Dogville me semble particulièrement intéressante, presque « pédagogique ». On y voit, à la fois: le fait que le violeur est un proche et que malgré les tentatives de la jeune femme, il y a à un moment précis une rupture de la communication, une négation de l’altérité. Avez-vous vu cette scène et qu’en pensez vous?

  28. Pingback: Catharsis, jeux vidéos, pornographie, vi...

  29. Bonjour,

    Je me fais violence (aïe) pour écrire ceci en public. Je voulais te l’envoyer par formulaire de contact, mais je pense que ta réponse (ou celle d’autres) pourront servir à d’autres personnes qui se posent les mêmes questions mais que la honte sociale empêche de poser.

    Est-ce que le fait d’avoir des fantasmes sexuels violents (viol en l’occurence) dès l’enfance (8 ans on va dire) sans jamais avoir subi ou vu de viol pourrait s’expliquer par le fait d’avoir reçu des fessées par ses parents ? En réalisant ce fantasme lors d’un jeu sexuel, je n’ai ressenti aucun plaisir à être contrainte et j’ai mis fin au jeu. J’avais du plaisir seulement en l’imaginant.

    C’est la seule explication que j’ai trouvé. En effet, pour ceux qui ne le savent pas, les fesses sont une zone érogène et ce, dès la naissance. Les fessées ont un impact sexuel sur l’individu. Inconsciemment on associe violence et plaisir.

    Merci pour vos réflexions respectueuses sur la question.

    • Bonjour,

      Je dois avouer que je ne sais pas… Peut-être ? Je n’ai pas lu de choses à ce sujet.
      Peut-être que des fessées + l’exposition à de la pornographie (je ne pense pas forcément à de la pornographie au sens strict, mais par exemple aux scènes « érotiques » de certains films qui sont en fait du porno soft) et de manière générale à des représentations culturelles qui associent violence et sexualité a pu contribuer à ça aussi…
      Je suis désolée de ne pas pouvoir répondre plus précisément à la question 😦

      Dans tous les cas, si vous changez d’avis et que vous souhaitez que ce commentaire ne soit plus visible sur mon blog, faîtes moi signe !

Laisser un commentaire

Ce site utilise Akismet pour réduire les indésirables. En savoir plus sur la façon dont les données de vos commentaires sont traitées.